🇳🇴 🇬🇧 🇩🇪 🇨🇿 🇫🇮

Meteor über Nyhammar 2025-02-27 20:59:10 UTC

KML-Datei  |  Interaktive Karte

Die Karte zeigt die Peilungen für den Meteor. Die helleren Linien zeigen die Richtungen von den Beobachtungsorten beim Erscheinen des Meteors, und die dunkleren Linien, wo er zuletzt gesehen wurde. Der blaue Pfeil zeigt die sichtbare Bahn des Meteors.

static map
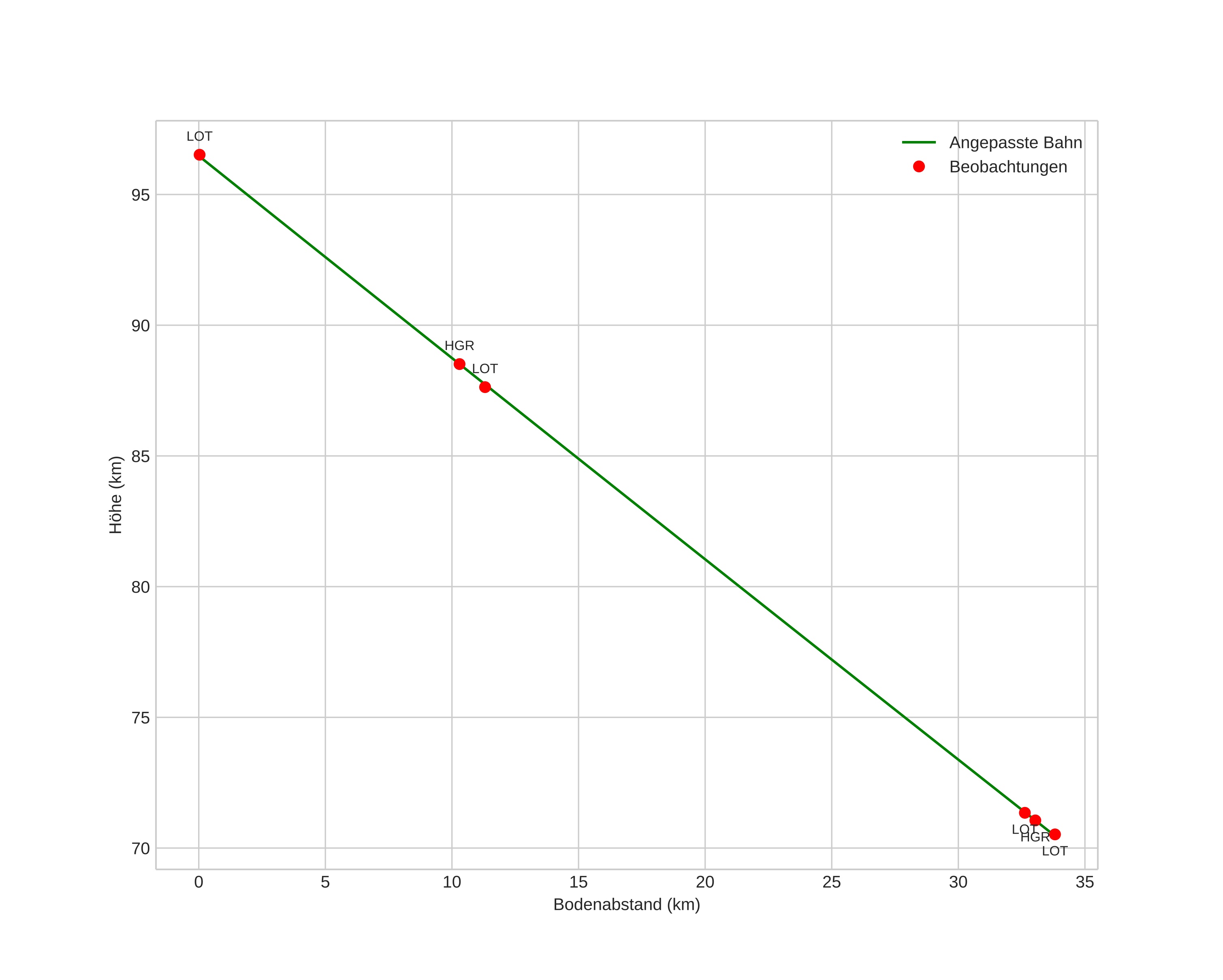
height profile
Atmosphärische Bahn des Meteors:
Anfangshöhe: 96,4 km
Endhöhe: 69,9 km
Startposition: 60,539N 15,455E
Endposition: 60,307N 15,039E
Richtung: 221,7°
Neigungswinkel: 37,6°
Eintrittsgeschwindigkeit: 34,3 km/s
Rektaszension des Radianten: 16:07 (241,9°)
Deklination des Radianten: 54,3°
Meteorstrom: sporadisch
Bahnelemente des Meteoroiden:
Periheldistanz: 0,959 AU
Exzentrizität: 0,669
Inklination: 53,9°
Länge des aufsteigenden Knotens: 339,2°
Argument des Perihels: 203,1°
Mittlere Anomalie: 356,5°
Epoche: 2025 FEB 27 20:59:10
orbit plot

Nicht-interaktives Diagramm | Interaktives Diagramm

position vs time
speed and acceleration