🇳🇴 🇬🇧 🇩🇪 🇨🇿 🇫🇮

Meteor, poloha: Neskollen 2025-02-28 01:55:37 UTC

Soubor KML  |  InteraktivnĂ­ mapa

Mapa zobrazuje dráhy meteoru. Světlejší čáry ukazují směry od pozorovacích stanic při objevení se meteoru a tmavší čáry, kde byl naposledy viděn. Modrá šipka značí viditelnou dráhu meteoru.

static map
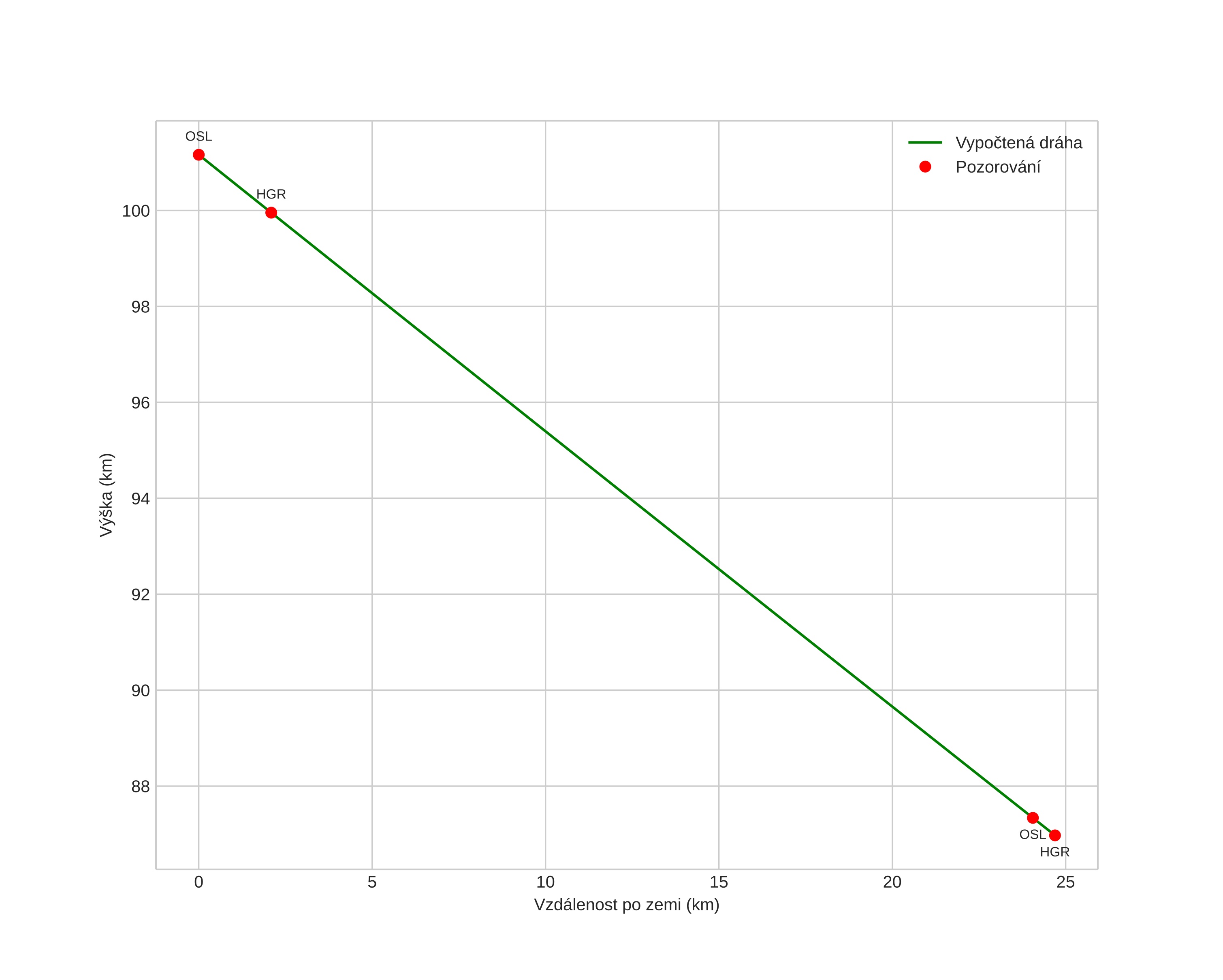
height profile
Atmosférická dráha meteoru:
Počáteční výška: 101,2 km
Konečná výška: 87,2 km
Počáteční poloha: 59,861N 11,228E
Konečná poloha: 60,077N 11,312E
Směr: 11,0°
Sklon: 29,8°
VstupnĂ­ rychlost: 44,1 km/s
Rektascenze radiantu: 12:31 (188,0°)
Deklinace radiantu: -0,8°
MeteorickĂ˝ roj: sporadickĂ˝
Elementy dráhy meteoroidu:
Vzdálenost v periheliu: 0,056 AU
Excentricita: 0,980
Sklon dráhy: 10,3°
Délka vzestupného uzlu: 339,4°
Argument perihelia: 334,8°
Střední anomálie: 353,7°
Epocha: 2025 FEB 28 01:55:37
orbit plot

NeinteraktivnĂ­ graf | InteraktivnĂ­ graf

position vs time
speed and acceleration