🇳🇴 🇬🇧 🇩🇪 🇨🇿 🇫🇮

Meteor Neskollenin yllä 2025-02-28 01:55:37 UTC

KML-tiedosto  |  Interaktiivinen kartta

Kartta näyttää meteorin suuntahavainnot. Vaaleammat viivat näyttävät suunnat havaintoasemilta meteorin ilmestyessä, ja tummemmat viivat näyttävät, missä se viimeksi nähtiin. Sininen nuoli näyttää meteorin näkyvän lennon.

static map
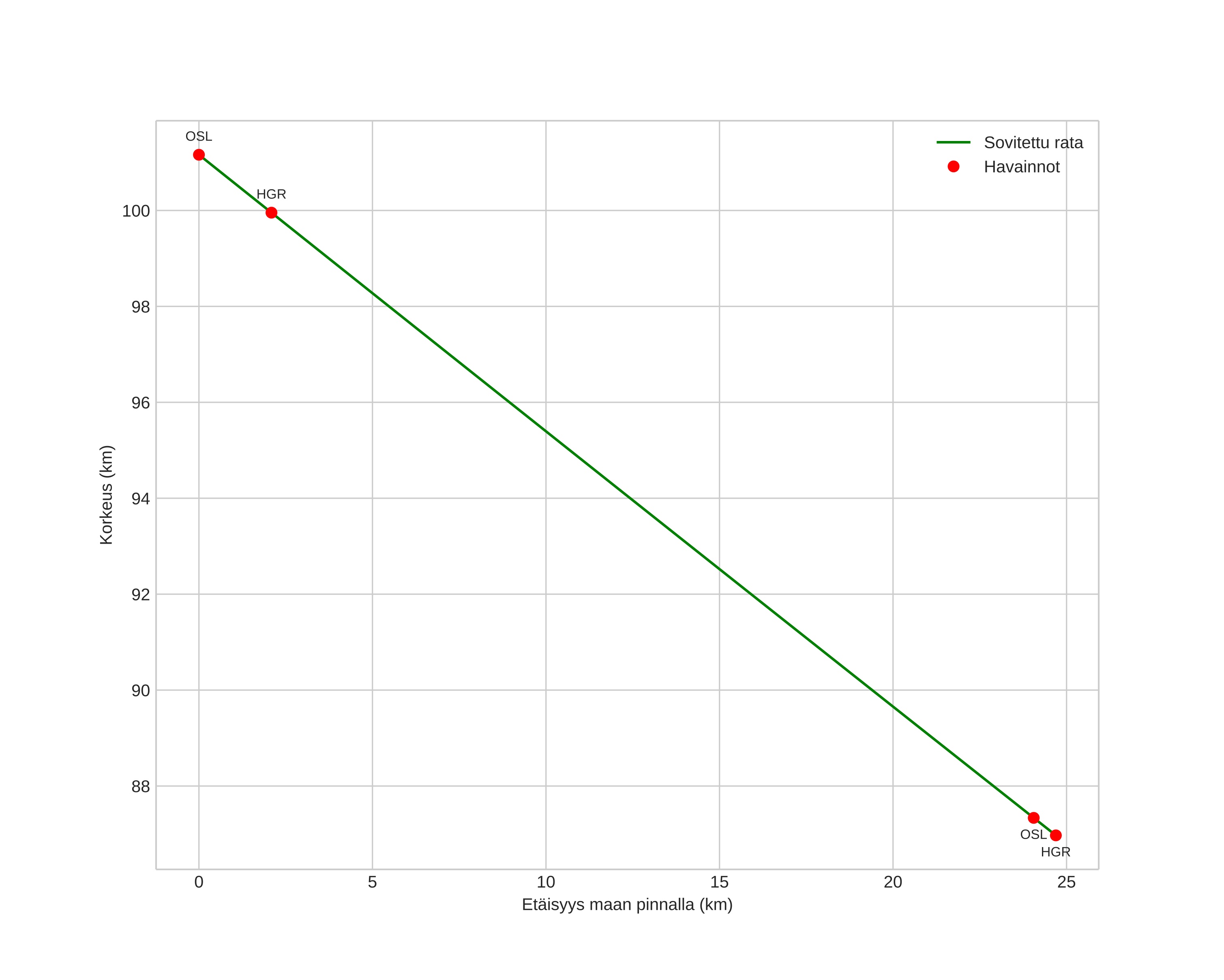
height profile
Meteorin ilmakehärata:
Alkukorkeus: 101,2 km
Loppukorkeus: 87,2 km
Alkupiste: 59,861N 11,228E
Loppupiste: 60,077N 11,312E
Suunta: 11,0°
Kallistuskulma: 29,8°
Tulonopeus: 44,1 km/s
Radiantin R,A,: 12:31 (188,0°)
Radiantin Dekl,: -0,8°
Meteoriparvi: Sporadinen
Meteoroidin rataelementit:
Perihelietäisyys: 0,056 AU
Eksentrisyys: 0,980
Inklinaatio: 10,3°
Nousevan solmun pituus: 339,4°
Perihelin argumentti: 334,8°
Keskianomalia: 353,7°
Epookki: 2025 FEB 28 01:55:37
orbit plot

Ei-interaktiivinen kuvaaja | Interaktiivinen kuvaaja

position vs time
speed and acceleration