🇳🇴 🇬🇧 🇩🇪 🇨🇿 🇫🇮

Meteor, poloha: Finnsnes 2025-02-28 19:41:37 UTC

Soubor KML  |  InteraktivnĂ­ mapa

Mapa zobrazuje dráhy meteoru. Světlejší čáry ukazují směry od pozorovacích stanic při objevení se meteoru a tmavší čáry, kde byl naposledy viděn. Modrá šipka značí viditelnou dráhu meteoru.

static map
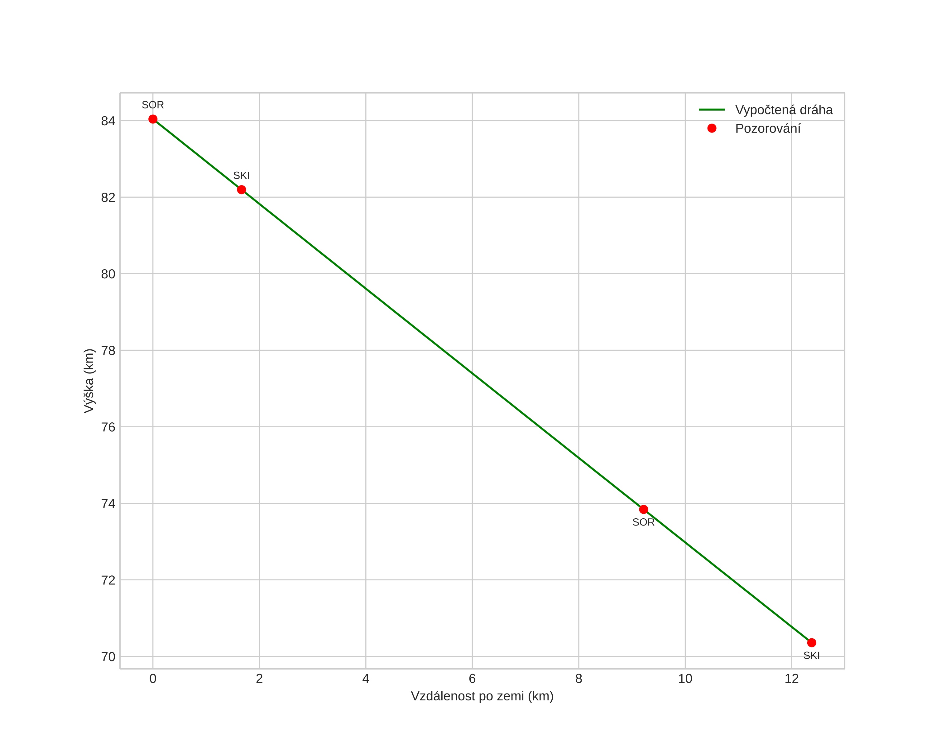
height profile
Atmosférická dráha meteoru:
Počáteční výška: 86,8 km
Konečná výška: 68,6 km
Počáteční poloha: 70,737N 17,819E
Konečná poloha: 70,754N 17,437E
Směr: 277,8°
Sklon: 52,2°
VstupnĂ­ rychlost: 16,3 km/s
Rektascenze radiantu: 11:43 (175,8°)
Deklinace radiantu: 41,0°
MeteorickĂ˝ roj: sporadickĂ˝
Elementy dráhy meteoroidu:
Vzdálenost v periheliu: 0,810 AU
Excentricita: 0,335
Sklon dráhy: 12,7°
Délka vzestupného uzlu: 340,1°
Argument perihelia: 254,0°
Střední anomálie: 319,9°
Epocha: 2025 FEB 28 19:41:37
orbit plot

NeinteraktivnĂ­ graf | InteraktivnĂ­ graf

position vs time
speed and acceleration