🇳🇴 🇬🇧 🇩🇪 🇨🇿 🇫🇮

Meteor Finnsnesin yllä 2025-02-28 19:41:37 UTC

KML-tiedosto  |  Interaktiivinen kartta

Kartta näyttää meteorin suuntahavainnot. Vaaleammat viivat näyttävät suunnat havaintoasemilta meteorin ilmestyessä, ja tummemmat viivat näyttävät, missä se viimeksi nähtiin. Sininen nuoli näyttää meteorin näkyvän lennon.

static map
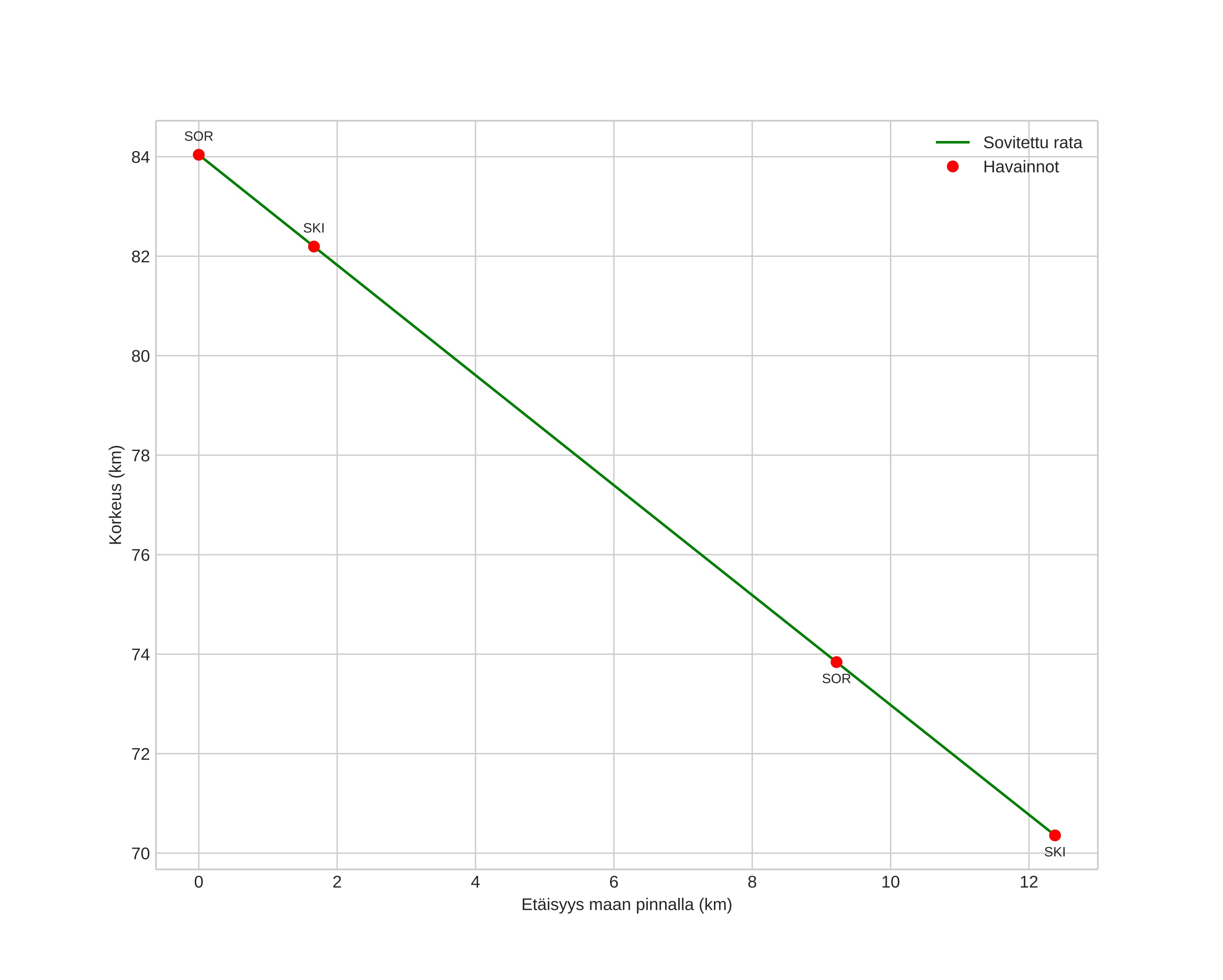
height profile
Meteorin ilmakehärata:
Alkukorkeus: 86,8 km
Loppukorkeus: 68,6 km
Alkupiste: 70,737N 17,819E
Loppupiste: 70,754N 17,437E
Suunta: 277,8°
Kallistuskulma: 52,2°
Tulonopeus: 16,3 km/s
Radiantin R,A,: 11:43 (175,8°)
Radiantin Dekl,: 41,0°
Meteoriparvi: Sporadinen
Meteoroidin rataelementit:
Perihelietäisyys: 0,810 AU
Eksentrisyys: 0,335
Inklinaatio: 12,7°
Nousevan solmun pituus: 340,1°
Perihelin argumentti: 254,0°
Keskianomalia: 319,9°
Epookki: 2025 FEB 28 19:41:37
orbit plot

Ei-interaktiivinen kuvaaja | Interaktiivinen kuvaaja

position vs time
speed and acceleration