🇳🇴 🇬🇧 🇩🇪 🇨🇿 🇫🇮

Meteor, poloha: Fredrikstad 2025-03-01 04:14:51 UTC

Soubor KML  |  InteraktivnĂ­ mapa

Mapa zobrazuje dráhy meteoru. Světlejší čáry ukazují směry od pozorovacích stanic při objevení se meteoru a tmavší čáry, kde byl naposledy viděn. Modrá šipka značí viditelnou dráhu meteoru.

static map
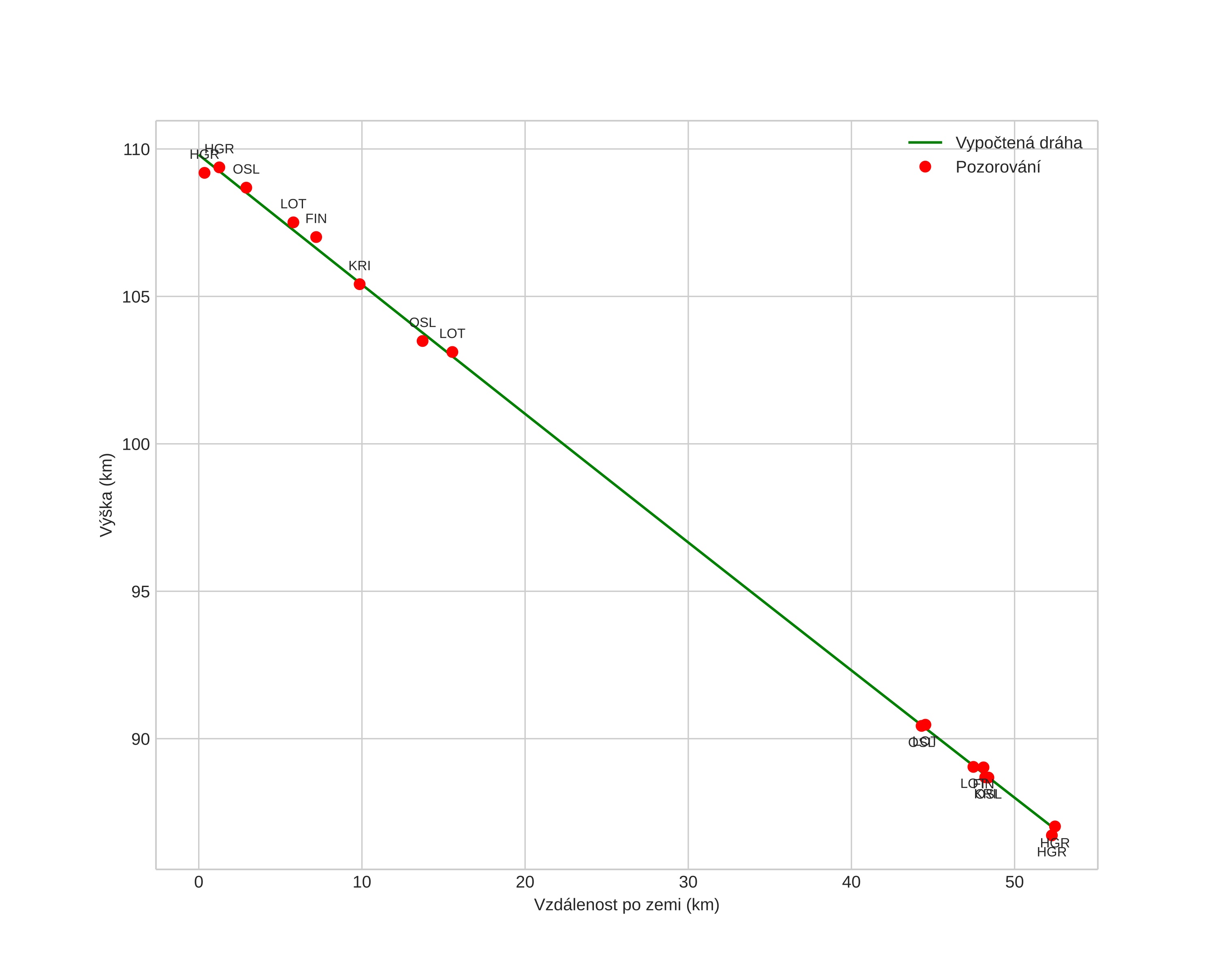
height profile
Atmosférická dráha meteoru:
Počáteční výška: 112,1 km
Konečná výška: 85,6 km
Počáteční poloha: 58,968N 11,785E
Konečná poloha: 59,234N 10,847E
Směr: 299,3°
Sklon: 23,4°
VstupnĂ­ rychlost: 56,2 km/s
Rektascenze radiantu: 19:12 (288,1°)
Deklinace radiantu: 5,5°
MeteorickĂ˝ roj: sporadickĂ˝
Elementy dráhy meteoroidu:
Vzdálenost v periheliu: 0,397 AU
Excentricita: 0,962
Sklon dráhy: 105,9°
Délka vzestupného uzlu: 340,5°
Argument perihelia: 77,2°
Střední anomálie: 1,1°
Epocha: 2025 MAR 01 04:14:51
orbit plot

NeinteraktivnĂ­ graf | InteraktivnĂ­ graf

position vs time
speed and acceleration