🇳🇴 🇬🇧 🇩🇪 🇨🇿 🇫🇮

Meteor Fredrikstadin yllä 2025-03-01 04:14:51 UTC

KML-tiedosto  |  Interaktiivinen kartta

Kartta näyttää meteorin suuntahavainnot. Vaaleammat viivat näyttävät suunnat havaintoasemilta meteorin ilmestyessä, ja tummemmat viivat näyttävät, missä se viimeksi nähtiin. Sininen nuoli näyttää meteorin näkyvän lennon.

static map
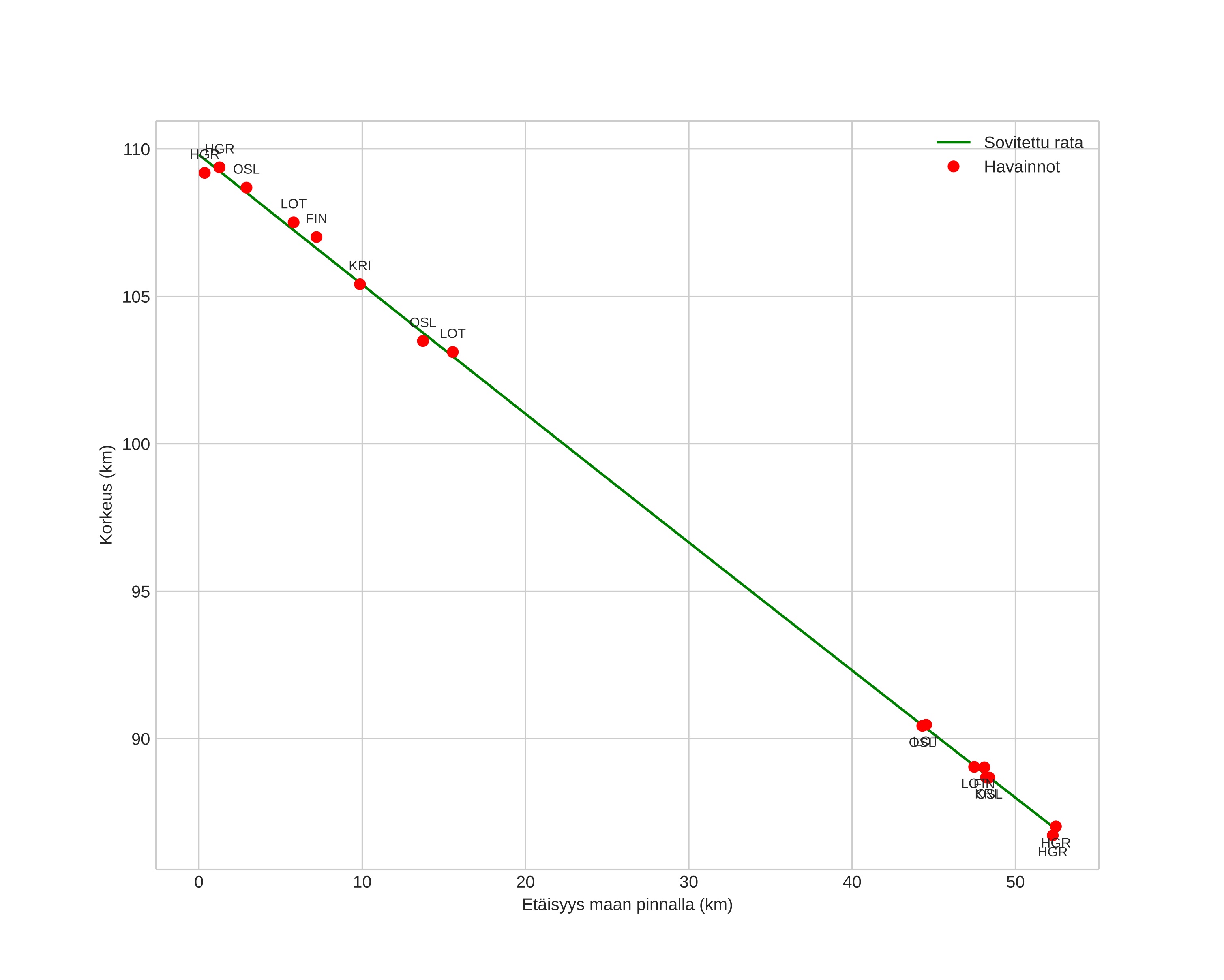
height profile
Meteorin ilmakehärata:
Alkukorkeus: 112,1 km
Loppukorkeus: 85,6 km
Alkupiste: 58,968N 11,785E
Loppupiste: 59,234N 10,847E
Suunta: 299,3°
Kallistuskulma: 23,4°
Tulonopeus: 56,2 km/s
Radiantin R,A,: 19:12 (288,1°)
Radiantin Dekl,: 5,5°
Meteoriparvi: Sporadinen
Meteoroidin rataelementit:
Perihelietäisyys: 0,397 AU
Eksentrisyys: 0,962
Inklinaatio: 105,9°
Nousevan solmun pituus: 340,5°
Perihelin argumentti: 77,2°
Keskianomalia: 1,1°
Epookki: 2025 MAR 01 04:14:51
orbit plot

Ei-interaktiivinen kuvaaja | Interaktiivinen kuvaaja

position vs time
speed and acceleration