🇳🇴 🇬🇧 🇩🇪 🇨🇿 🇫🇮

Meteor, poloha: Moss 2025-03-04 01:27:57 UTC

Soubor KML  |  InteraktivnĂ­ mapa

Mapa zobrazuje dráhy meteoru. Světlejší čáry ukazují směry od pozorovacích stanic při objevení se meteoru a tmavší čáry, kde byl naposledy viděn. Modrá šipka značí viditelnou dráhu meteoru.

static map
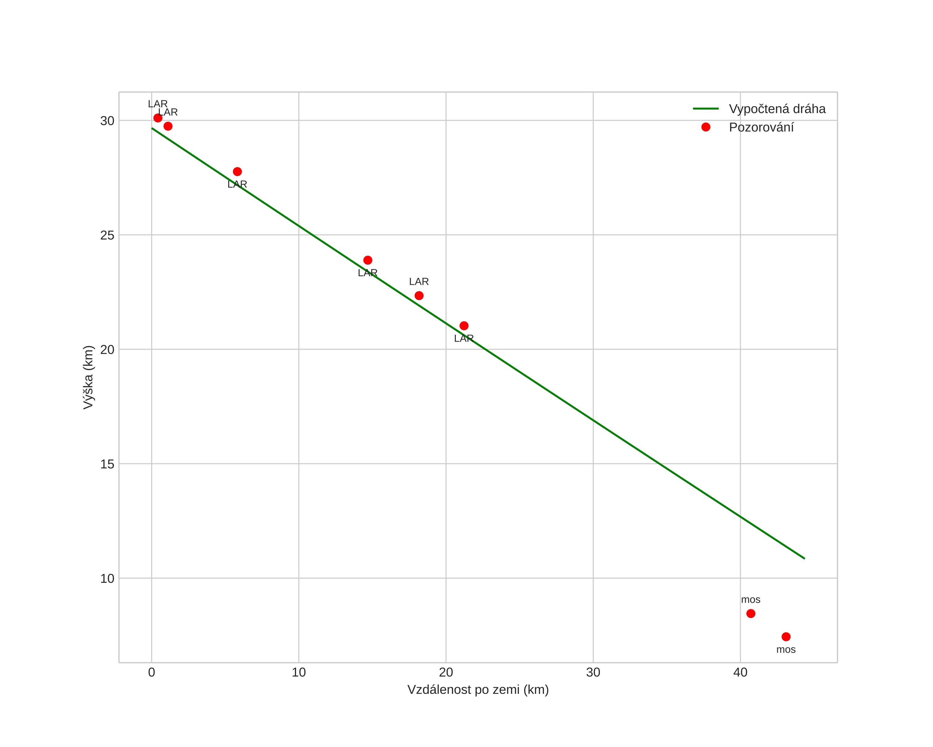
height profile
Atmosférická dráha meteoru:
Počáteční výška: 30,1 km
Konečná výška: 10,0 km
Počáteční poloha: 59,349N 9,827E
Konečná poloha: 59,439N 10,610E
Směr: 76,9°
Sklon: 23,8°
VstupnĂ­ rychlost: 1,9 km/s
position vs time
speed and acceleration