🇳🇴 🇬🇧 🇩🇪 🇨🇿 🇫🇮

Meteor Mossin yllä 2025-03-04 01:27:57 UTC

KML-tiedosto  |  Interaktiivinen kartta

Kartta näyttää meteorin suuntahavainnot. Vaaleammat viivat näyttävät suunnat havaintoasemilta meteorin ilmestyessä, ja tummemmat viivat näyttävät, missä se viimeksi nähtiin. Sininen nuoli näyttää meteorin näkyvän lennon.

static map
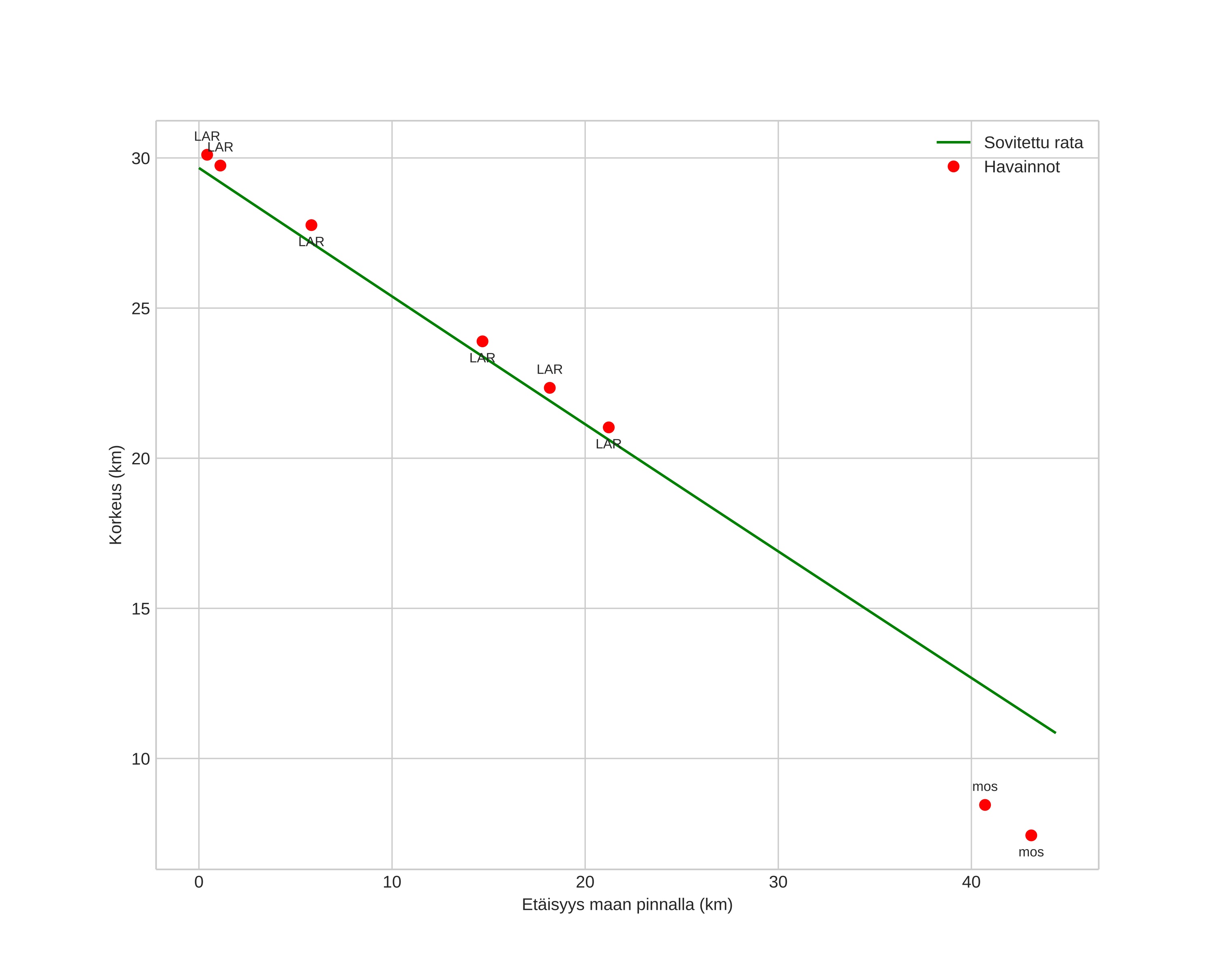
height profile
Meteorin ilmakehärata:
Alkukorkeus: 30,1 km
Loppukorkeus: 10,0 km
Alkupiste: 59,349N 9,827E
Loppupiste: 59,439N 10,610E
Suunta: 76,9°
Kallistuskulma: 23,8°
Tulonopeus: 1,9 km/s
position vs time
speed and acceleration