🇳🇴 🇬🇧 🇩🇪 🇨🇿 🇫🇮

Meteor, poloha: Løten 2025-03-06 20:44:05 UTC

Soubor KML  |  InteraktivnĂ­ mapa

Mapa zobrazuje dráhy meteoru. Světlejší čáry ukazují směry od pozorovacích stanic při objevení se meteoru a tmavší čáry, kde byl naposledy viděn. Modrá šipka značí viditelnou dráhu meteoru.

static map
height profile
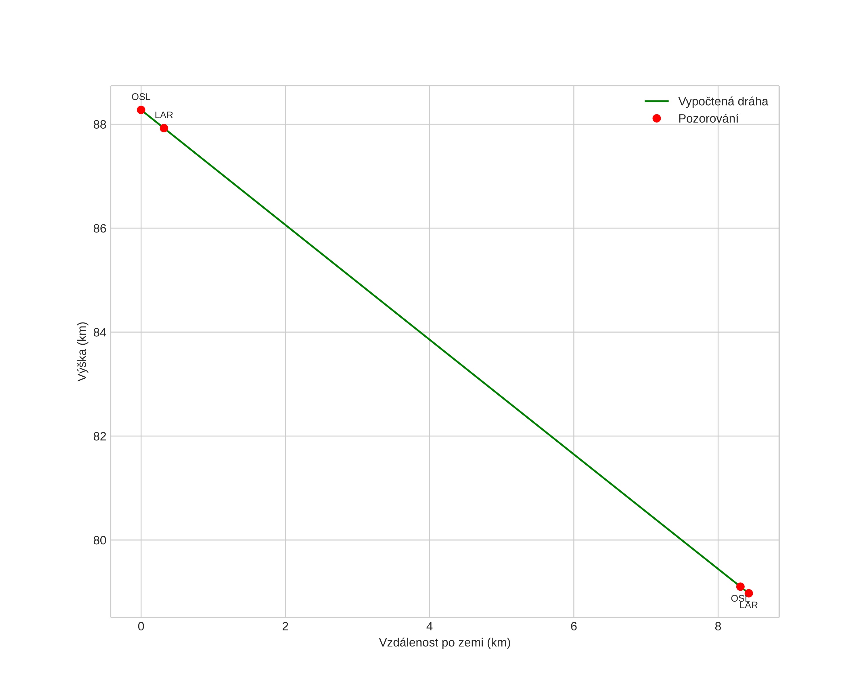
Atmosférická dráha meteoru:
Počáteční výška: 89,6 km
Konečná výška: 77,9 km
Počáteční poloha: 60,912N 11,210E
Konečná poloha: 60,955N 11,305E
Směr: 47,3°
Sklon: 59,1°
VstupnĂ­ rychlost: 15,3 km/s
Rektascenze radiantu: 06:20 (95,1°)
Deklinace radiantu: 29,9°
MeteorickĂ˝ roj: sporadickĂ˝
Elementy dráhy meteoroidu:
Vzdálenost v periheliu: 0,987 AU
Excentricita: 0,803
Sklon dráhy: 1,7°
Délka vzestupného uzlu: 346,2°
Argument perihelia: 189,2°
Střední anomálie: 359,4°
Epocha: 2025 MAR 06 20:44:05
orbit plot

NeinteraktivnĂ­ graf | InteraktivnĂ­ graf

position vs time
speed and acceleration