🇳🇴 🇬🇧 🇩🇪 🇨🇿 🇫🇮

Meteor Løtenin yllä 2025-03-06 20:44:05 UTC

KML-tiedosto  |  Interaktiivinen kartta

Kartta näyttää meteorin suuntahavainnot. Vaaleammat viivat näyttävät suunnat havaintoasemilta meteorin ilmestyessä, ja tummemmat viivat näyttävät, missä se viimeksi nähtiin. Sininen nuoli näyttää meteorin näkyvän lennon.

static map
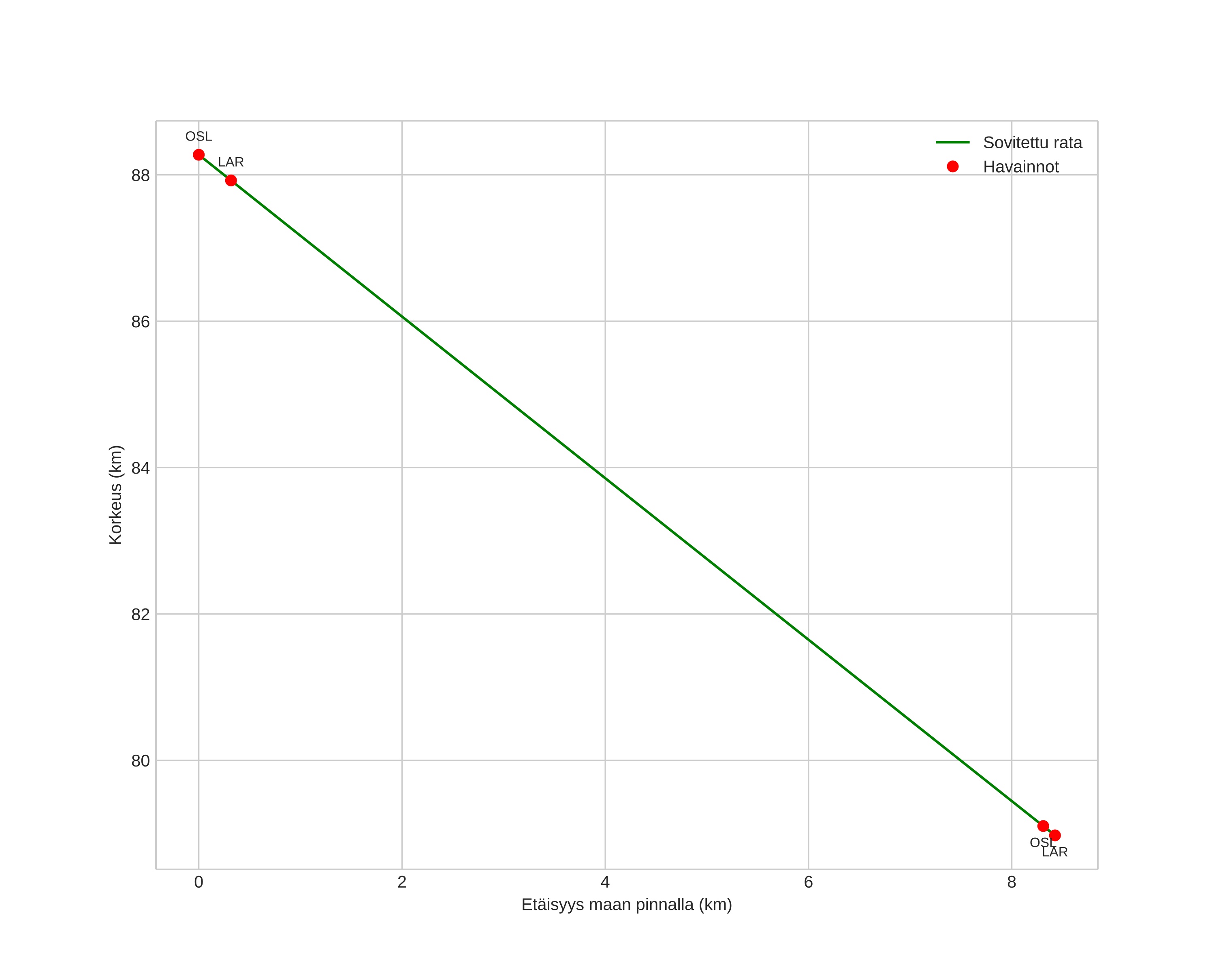
height profile
Meteorin ilmakehärata:
Alkukorkeus: 89,6 km
Loppukorkeus: 77,9 km
Alkupiste: 60,912N 11,210E
Loppupiste: 60,955N 11,305E
Suunta: 47,3°
Kallistuskulma: 59,1°
Tulonopeus: 15,3 km/s
Radiantin R,A,: 06:20 (95,1°)
Radiantin Dekl,: 29,9°
Meteoriparvi: Sporadinen
Meteoroidin rataelementit:
Perihelietäisyys: 0,987 AU
Eksentrisyys: 0,803
Inklinaatio: 1,7°
Nousevan solmun pituus: 346,2°
Perihelin argumentti: 189,2°
Keskianomalia: 359,4°
Epookki: 2025 MAR 06 20:44:05
orbit plot

Ei-interaktiivinen kuvaaja | Interaktiivinen kuvaaja

position vs time
speed and acceleration