🇳🇴 🇬🇧 🇩🇪 🇨🇿 🇫🇮

Meteor, poloha: Nesoddtangen 2025-03-10 01:02:20 UTC

Soubor KML  |  InteraktivnĂ­ mapa

Mapa zobrazuje dráhy meteoru. Světlejší čáry ukazují směry od pozorovacích stanic při objevení se meteoru a tmavší čáry, kde byl naposledy viděn. Modrá šipka značí viditelnou dráhu meteoru.

static map
height profile
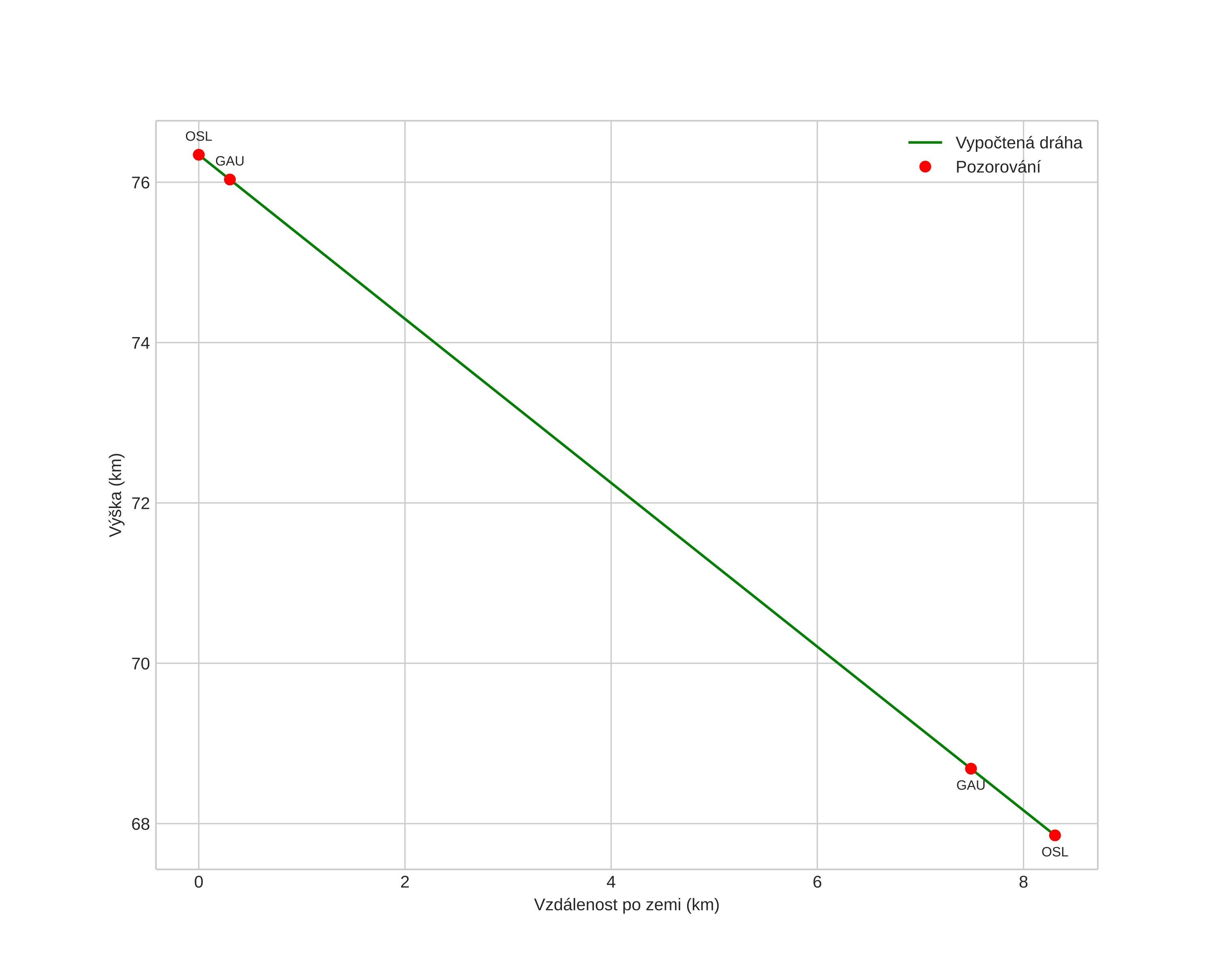
Atmosférická dráha meteoru:
Počáteční výška: 76,5 km
Konečná výška: 67,8 km
Počáteční poloha: 59,952N 10,610E
Konečná poloha: 59,884N 10,677E
Směr: 153,6°
Sklon: 45,6°
VstupnĂ­ rychlost: 12,7 km/s
Rektascenze radiantu: 03:50 (57,7°)
Deklinace radiantu: 54,3°
MeteorickĂ˝ roj: sporadickĂ˝
Elementy dráhy meteoroidu:
Vzdálenost v periheliu: 0,990 AU
Excentricita: 0,407
Sklon dráhy: 5,7°
Délka vzestupného uzlu: 349,4°
Argument perihelia: 171,6°
Střední anomálie: 3,2°
Epocha: 2025 MAR 10 01:02:20
orbit plot

NeinteraktivnĂ­ graf | InteraktivnĂ­ graf

position vs time
speed and acceleration