🇳🇴 🇬🇧 🇩🇪 🇨🇿 🇫🇮

Meteor Nesoddtangenin yllä 2025-03-10 01:02:20 UTC

KML-tiedosto  |  Interaktiivinen kartta

Kartta näyttää meteorin suuntahavainnot. Vaaleammat viivat näyttävät suunnat havaintoasemilta meteorin ilmestyessä, ja tummemmat viivat näyttävät, missä se viimeksi nähtiin. Sininen nuoli näyttää meteorin näkyvän lennon.

static map
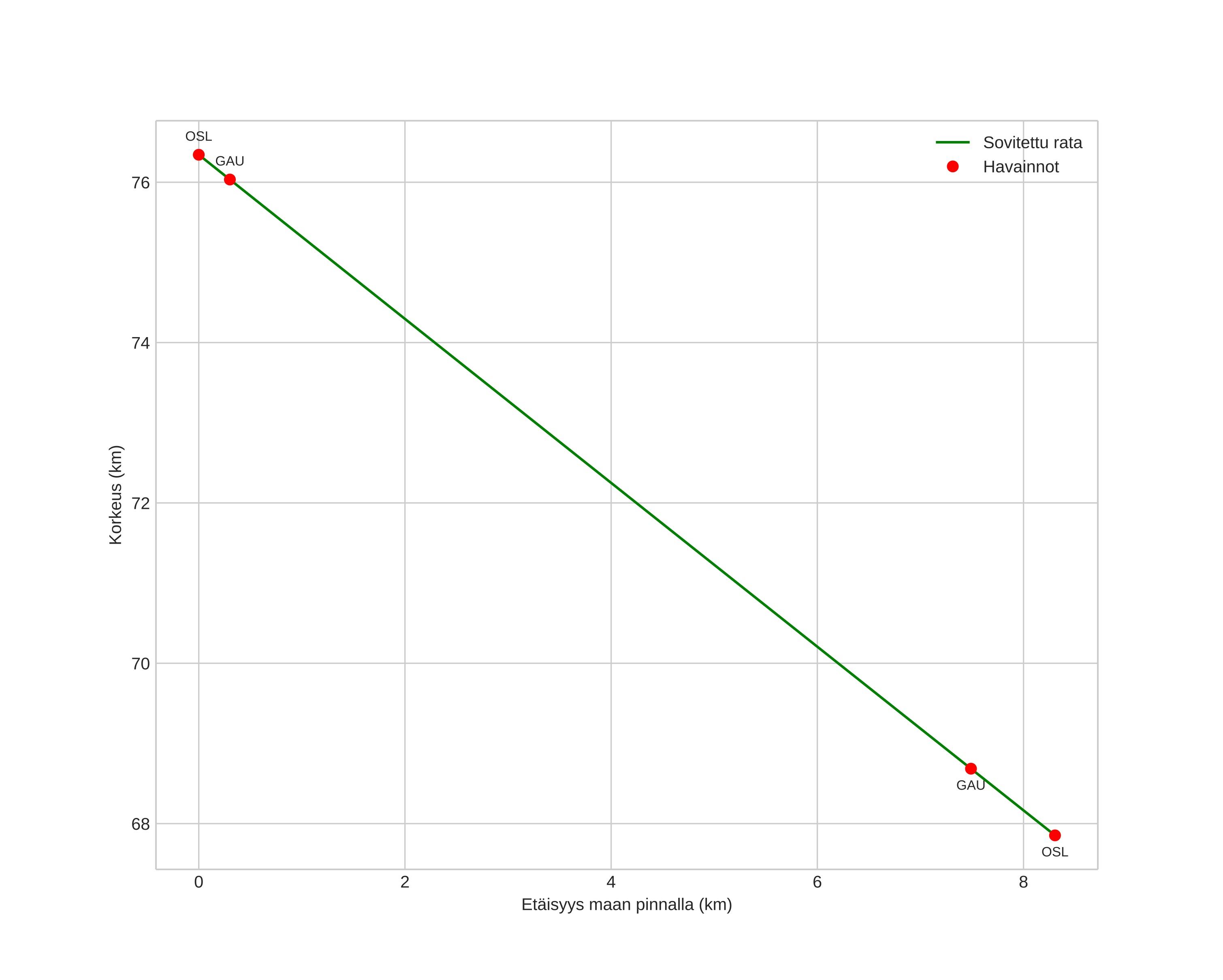
height profile
Meteorin ilmakehärata:
Alkukorkeus: 76,5 km
Loppukorkeus: 67,8 km
Alkupiste: 59,952N 10,610E
Loppupiste: 59,884N 10,677E
Suunta: 153,6°
Kallistuskulma: 45,6°
Tulonopeus: 12,7 km/s
Radiantin R,A,: 03:50 (57,7°)
Radiantin Dekl,: 54,3°
Meteoriparvi: Sporadinen
Meteoroidin rataelementit:
Perihelietäisyys: 0,990 AU
Eksentrisyys: 0,407
Inklinaatio: 5,7°
Nousevan solmun pituus: 349,4°
Perihelin argumentti: 171,6°
Keskianomalia: 3,2°
Epookki: 2025 MAR 10 01:02:20
orbit plot

Ei-interaktiivinen kuvaaja | Interaktiivinen kuvaaja

position vs time
speed and acceleration