🇳🇴 🇬🇧 🇩🇪 🇨🇿 🇫🇮

Meteor, poloha: Vara 2025-03-11 19:26:17 UTC

Soubor KML  |  InteraktivnĂ­ mapa

Mapa zobrazuje dráhy meteoru. Světlejší čáry ukazují směry od pozorovacích stanic při objevení se meteoru a tmavší čáry, kde byl naposledy viděn. Modrá šipka značí viditelnou dráhu meteoru.

static map
height profile
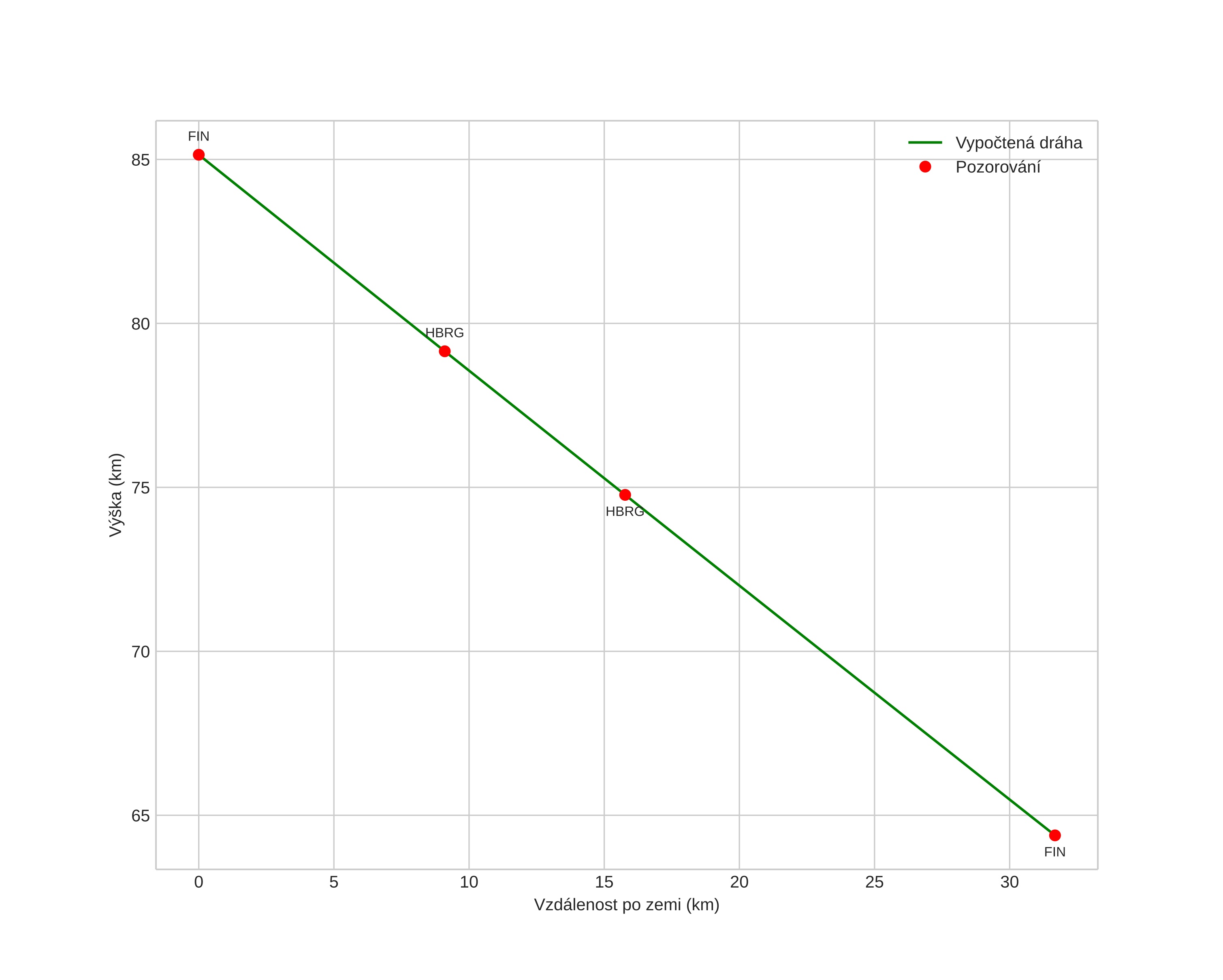
Atmosférická dráha meteoru:
Počáteční výška: 86,0 km
Konečná výška: 68,5 km
Počáteční poloha: 58,299N 13,357E
Konečná poloha: 58,441N 12,967E
Směr: 304,9°
Sklon: 32,3°
VstupnĂ­ rychlost: 21,2 km/s
Rektascenze radiantu: 10:43 (161,0°)
Deklinace radiantu: 7,2°
MeteorickĂ˝ roj: sporadickĂ˝
Elementy dráhy meteoroidu:
Vzdálenost v periheliu: 0,739 AU
Excentricita: 0,689
Sklon dráhy: 0,4°
Délka vzestupného uzlu: 171,2°
Argument perihelia: 68,1°
Střední anomálie: 348,8°
Epocha: 2025 MAR 11 19:26:17
orbit plot

NeinteraktivnĂ­ graf | InteraktivnĂ­ graf

position vs time
speed and acceleration