🇳🇴 🇬🇧 🇩🇪 🇨🇿 🇫🇮

Meteor Varan yllä 2025-03-11 19:26:17 UTC

KML-tiedosto  |  Interaktiivinen kartta

Kartta näyttää meteorin suuntahavainnot. Vaaleammat viivat näyttävät suunnat havaintoasemilta meteorin ilmestyessä, ja tummemmat viivat näyttävät, missä se viimeksi nähtiin. Sininen nuoli näyttää meteorin näkyvän lennon.

static map
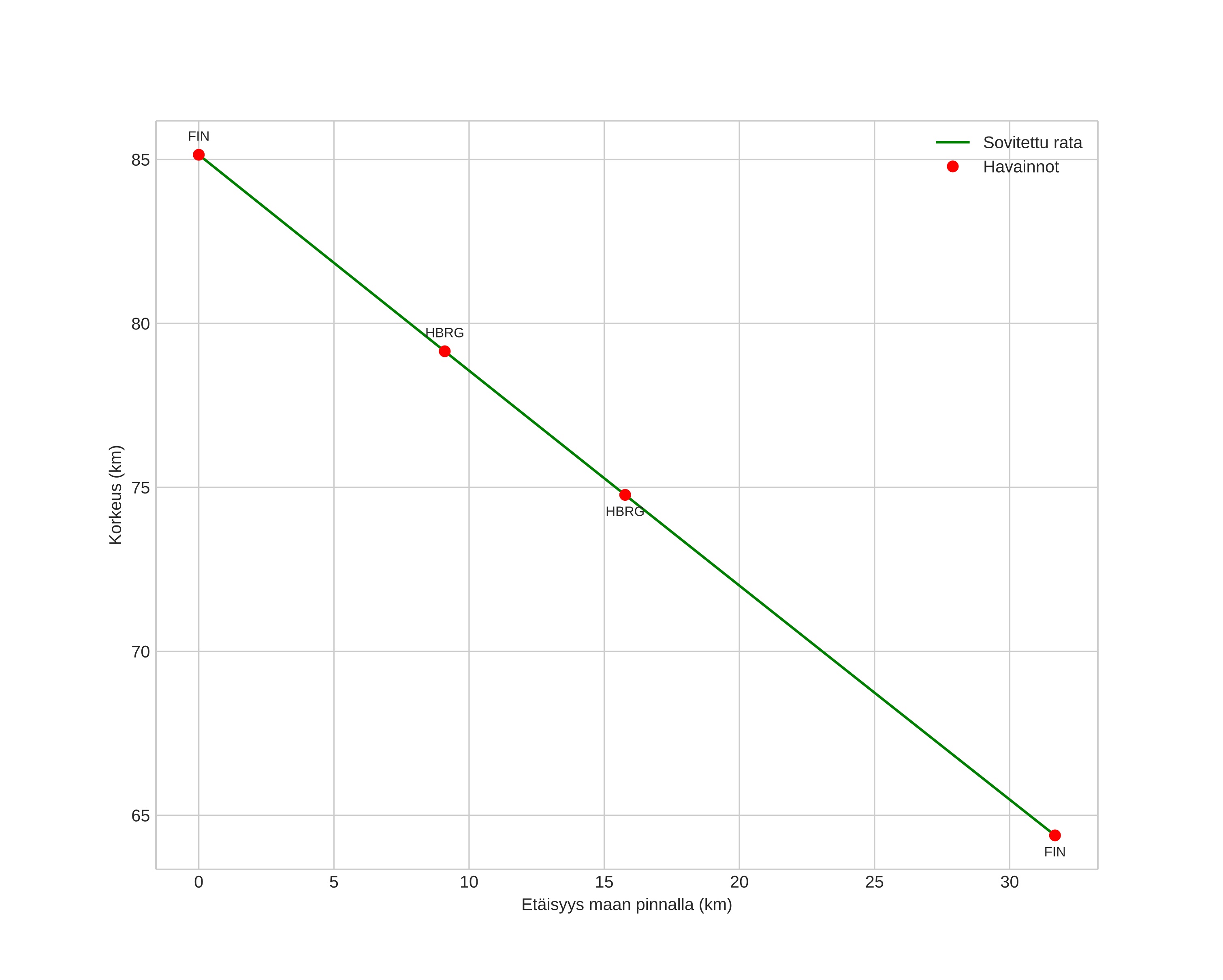
height profile
Meteorin ilmakehärata:
Alkukorkeus: 86,0 km
Loppukorkeus: 68,5 km
Alkupiste: 58,299N 13,357E
Loppupiste: 58,441N 12,967E
Suunta: 304,9°
Kallistuskulma: 32,3°
Tulonopeus: 21,2 km/s
Radiantin R,A,: 10:43 (161,0°)
Radiantin Dekl,: 7,2°
Meteoriparvi: Sporadinen
Meteoroidin rataelementit:
Perihelietäisyys: 0,739 AU
Eksentrisyys: 0,689
Inklinaatio: 0,4°
Nousevan solmun pituus: 171,2°
Perihelin argumentti: 68,1°
Keskianomalia: 348,8°
Epookki: 2025 MAR 11 19:26:17
orbit plot

Ei-interaktiivinen kuvaaja | Interaktiivinen kuvaaja

position vs time
speed and acceleration