🇳🇴 🇬🇧 🇩🇪 🇨🇿 🇫🇮

Meteor, poloha: Sørreisa 2025-03-13 21:54:54 UTC

Soubor KML  |  InteraktivnĂ­ mapa

Mapa zobrazuje dráhy meteoru. Světlejší čáry ukazují směry od pozorovacích stanic při objevení se meteoru a tmavší čáry, kde byl naposledy viděn. Modrá šipka značí viditelnou dráhu meteoru.

static map
height profile
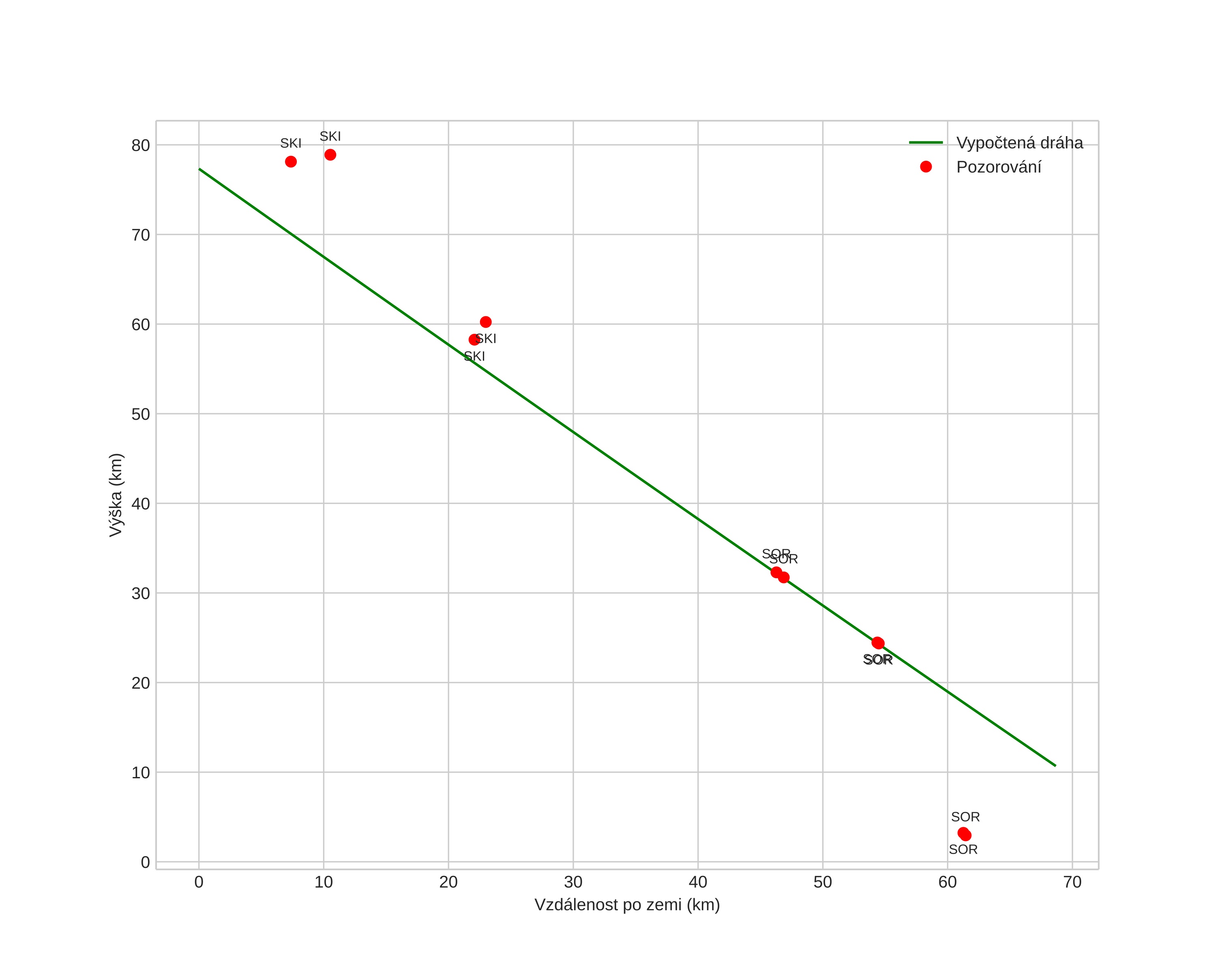
Atmosférická dráha meteoru:
Počáteční výška: 76,6 km
Konečná výška: 11,6 km
Počáteční poloha: 69,437N 19,520E
Konečná poloha: 69,101N 18,055E
Směr: 237,7°
Sklon: 43,4°
VstupnĂ­ rychlost: 31,6 km/s
Rektascenze radiantu: 17:28 (262,2°)
Deklinace radiantu: 50,0°
MeteorickĂ˝ roj: sporadickĂ˝
Elementy dráhy meteoroidu:
Vzdálenost v periheliu: 0,992 AU
Excentricita: 0,409
Sklon dráhy: 52,7°
Délka vzestupného uzlu: 353,2°
Argument perihelia: 186,2°
Střední anomálie: 357,6°
Epocha: 2025 MAR 13 21:54:54
orbit plot

NeinteraktivnĂ­ graf | InteraktivnĂ­ graf

position vs time
speed and acceleration