🇳🇴 🇬🇧 🇩🇪 🇨🇿 🇫🇮

Meteor Sørreisan yllä 2025-03-13 21:54:54 UTC

KML-tiedosto  |  Interaktiivinen kartta

Kartta näyttää meteorin suuntahavainnot. Vaaleammat viivat näyttävät suunnat havaintoasemilta meteorin ilmestyessä, ja tummemmat viivat näyttävät, missä se viimeksi nähtiin. Sininen nuoli näyttää meteorin näkyvän lennon.

static map
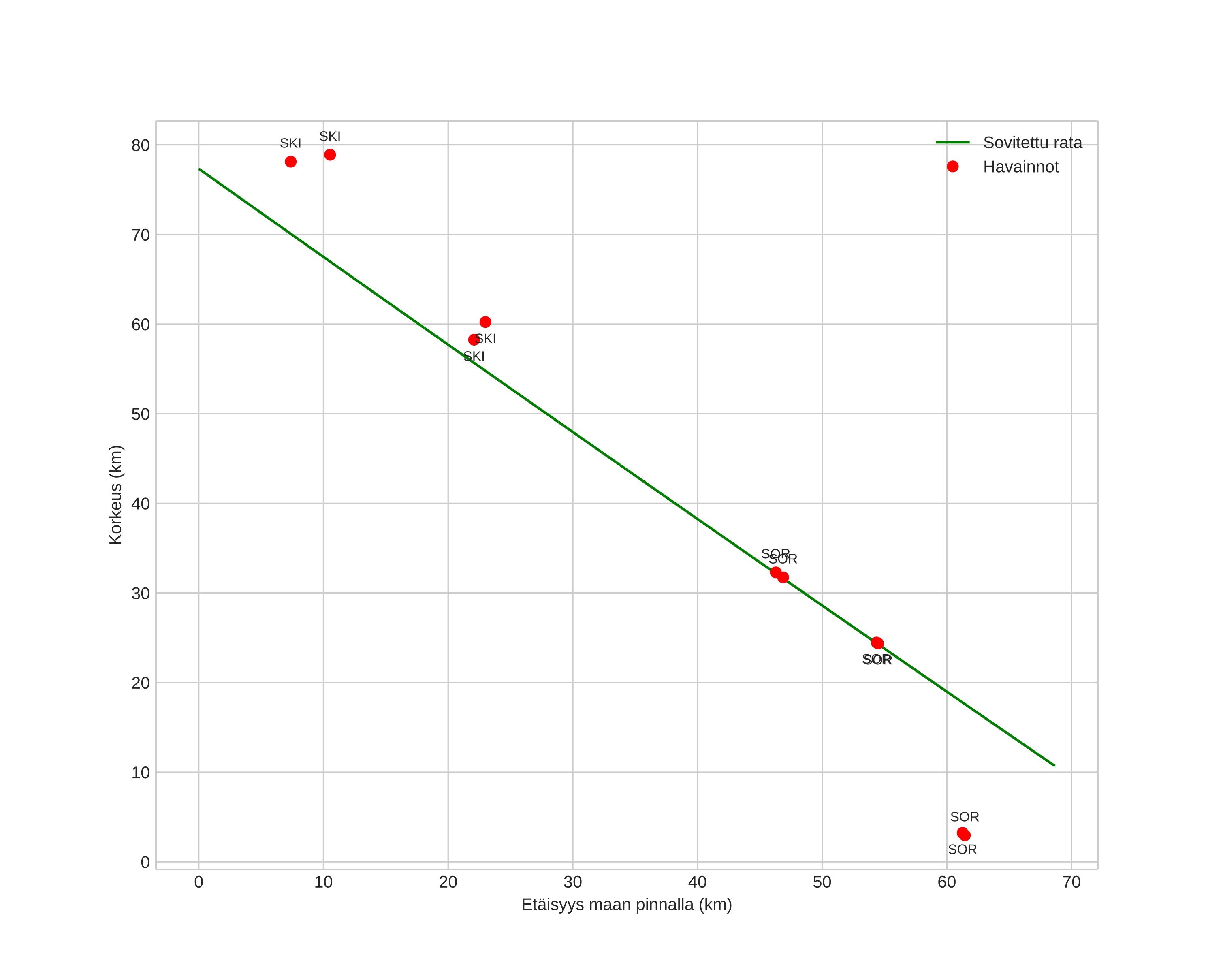
height profile
Meteorin ilmakehärata:
Alkukorkeus: 76,6 km
Loppukorkeus: 11,6 km
Alkupiste: 69,437N 19,520E
Loppupiste: 69,101N 18,055E
Suunta: 237,7°
Kallistuskulma: 43,4°
Tulonopeus: 31,6 km/s
Radiantin R,A,: 17:28 (262,2°)
Radiantin Dekl,: 50,0°
Meteoriparvi: Sporadinen
Meteoroidin rataelementit:
Perihelietäisyys: 0,992 AU
Eksentrisyys: 0,409
Inklinaatio: 52,7°
Nousevan solmun pituus: 353,2°
Perihelin argumentti: 186,2°
Keskianomalia: 357,6°
Epookki: 2025 MAR 13 21:54:54
orbit plot

Ei-interaktiivinen kuvaaja | Interaktiivinen kuvaaja

position vs time
speed and acceleration