🇳🇴 🇬🇧 🇩🇪 🇨🇿 🇫🇮

Meteor, poloha: Segalstad bru 2025-03-14 22:15:59 UTC

Soubor KML  |  InteraktivnĂ­ mapa

Mapa zobrazuje dráhy meteoru. Světlejší čáry ukazují směry od pozorovacích stanic při objevení se meteoru a tmavší čáry, kde byl naposledy viděn. Modrá šipka značí viditelnou dráhu meteoru.

static map
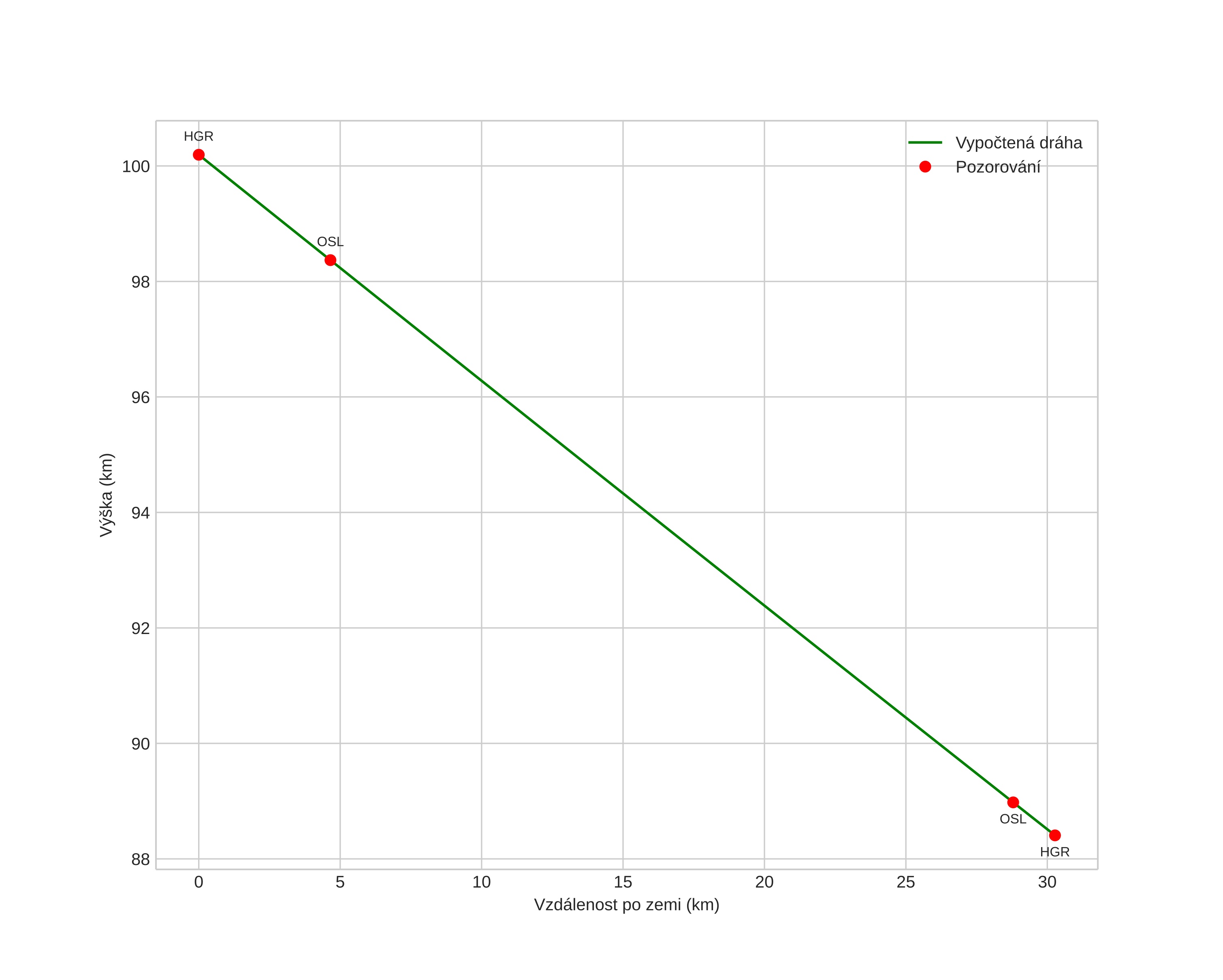
height profile
Atmosférická dráha meteoru:
Počáteční výška: 100,2 km
Konečná výška: 88,6 km
Počáteční poloha: 61,423N 10,235E
Konečná poloha: 61,217N 9,883E
Směr: 219,4°
Sklon: 21,4°
VstupnĂ­ rychlost: 42,8 km/s
Rektascenze radiantu: 19:01 (285,4°)
Deklinace radiantu: 40,5°
MeteorickĂ˝ roj: sporadickĂ˝
Elementy dráhy meteoroidu:
Vzdálenost v periheliu: 0,922 AU
Excentricita: 0,845
Sklon dráhy: 69,4°
Délka vzestupného uzlu: 354,2°
Argument perihelia: 147,2°
Střední anomálie: 1,5°
Epocha: 2025 MAR 14 22:15:59
orbit plot

NeinteraktivnĂ­ graf | InteraktivnĂ­ graf

position vs time
speed and acceleration