🇳🇴 🇬🇧 🇩🇪 🇨🇿 🇫🇮

Meteor Segalstad brun yllä 2025-03-14 22:15:59 UTC

KML-tiedosto  |  Interaktiivinen kartta

Kartta näyttää meteorin suuntahavainnot. Vaaleammat viivat näyttävät suunnat havaintoasemilta meteorin ilmestyessä, ja tummemmat viivat näyttävät, missä se viimeksi nähtiin. Sininen nuoli näyttää meteorin näkyvän lennon.

static map
height profile
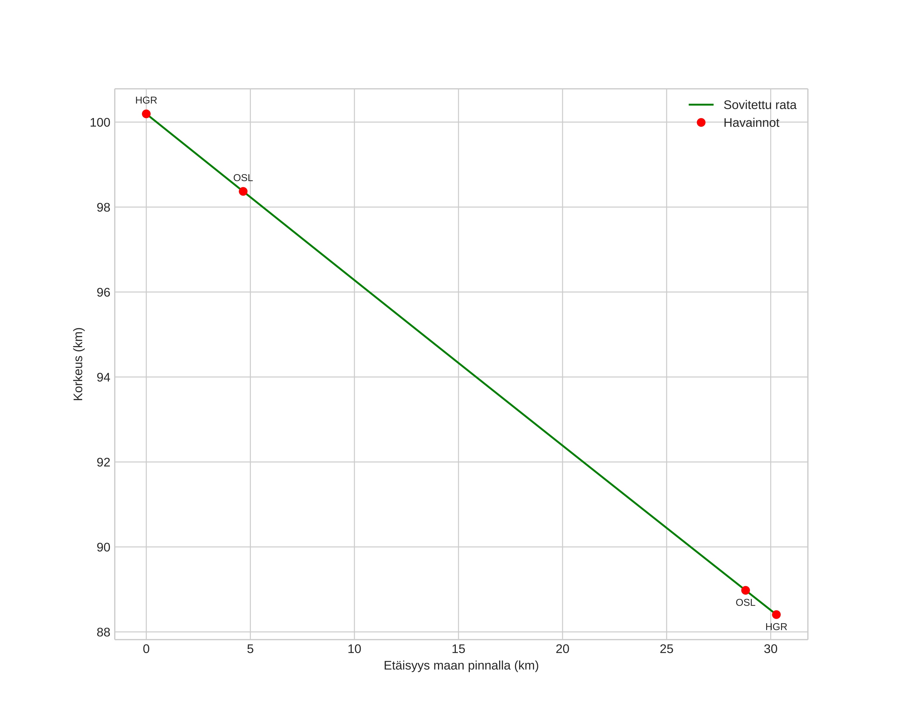
Meteorin ilmakehärata:
Alkukorkeus: 100,2 km
Loppukorkeus: 88,6 km
Alkupiste: 61,423N 10,235E
Loppupiste: 61,217N 9,883E
Suunta: 219,4°
Kallistuskulma: 21,4°
Tulonopeus: 42,8 km/s
Radiantin R,A,: 19:01 (285,4°)
Radiantin Dekl,: 40,5°
Meteoriparvi: Sporadinen
Meteoroidin rataelementit:
Perihelietäisyys: 0,922 AU
Eksentrisyys: 0,845
Inklinaatio: 69,4°
Nousevan solmun pituus: 354,2°
Perihelin argumentti: 147,2°
Keskianomalia: 1,5°
Epookki: 2025 MAR 14 22:15:59
orbit plot

Ei-interaktiivinen kuvaaja | Interaktiivinen kuvaaja

position vs time
speed and acceleration