🇳🇴 🇬🇧 🇩🇪 🇨🇿 🇫🇮

Meteor, poloha: Segalstad bru 2025-03-14 22:35:30 UTC

Soubor KML  |  InteraktivnĂ­ mapa

Mapa zobrazuje dráhy meteoru. Světlejší čáry ukazují směry od pozorovacích stanic při objevení se meteoru a tmavší čáry, kde byl naposledy viděn. Modrá šipka značí viditelnou dráhu meteoru.

static map
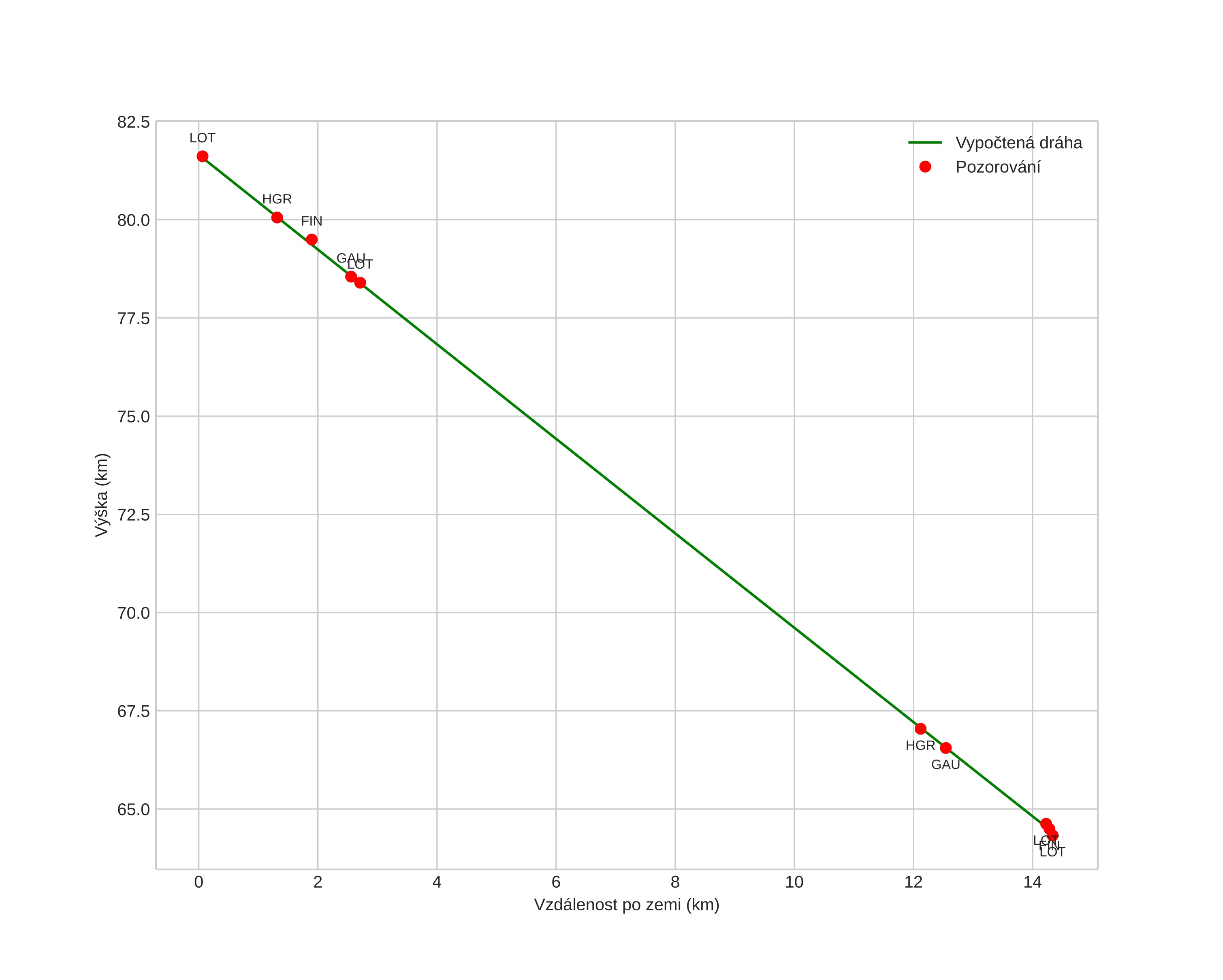
height profile
Atmosférická dráha meteoru:
Počáteční výška: 82,2 km
Konečná výška: 64,4 km
Počáteční poloha: 61,054N 9,976E
Konečná poloha: 61,181N 10,044E
Směr: 14,5°
Sklon: 50,7°
VstupnĂ­ rychlost: 17,4 km/s
Rektascenze radiantu: 09:59 (149,8°)
Deklinace radiantu: 17,1°
MeteorickĂ˝ roj: sporadickĂ˝
Elementy dráhy meteoroidu:
Vzdálenost v periheliu: 0,883 AU
Excentricita: 0,666
Sklon dráhy: 1,7°
Délka vzestupného uzlu: 354,2°
Argument perihelia: 224,0°
Střední anomálie: 352,9°
Epocha: 2025 MAR 14 22:35:30
orbit plot

NeinteraktivnĂ­ graf | InteraktivnĂ­ graf

position vs time
speed and acceleration