🇳🇴 🇬🇧 🇩🇪 🇨🇿 🇫🇮

Meteor Segalstad brun yllä 2025-03-14 22:35:30 UTC

KML-tiedosto  |  Interaktiivinen kartta

Kartta näyttää meteorin suuntahavainnot. Vaaleammat viivat näyttävät suunnat havaintoasemilta meteorin ilmestyessä, ja tummemmat viivat näyttävät, missä se viimeksi nähtiin. Sininen nuoli näyttää meteorin näkyvän lennon.

static map
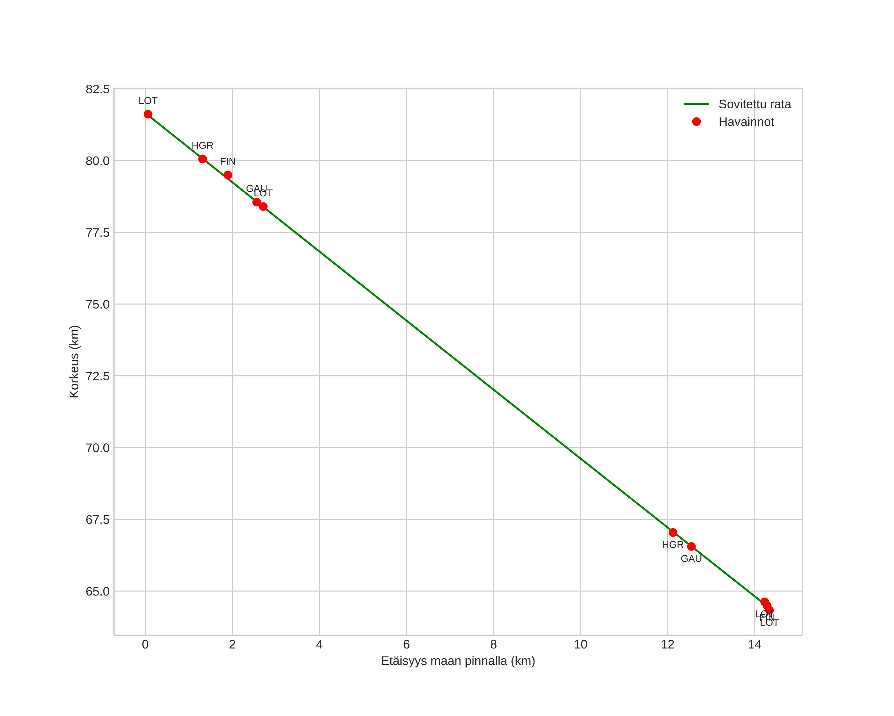
height profile
Meteorin ilmakehärata:
Alkukorkeus: 82,2 km
Loppukorkeus: 64,4 km
Alkupiste: 61,054N 9,976E
Loppupiste: 61,181N 10,044E
Suunta: 14,5°
Kallistuskulma: 50,7°
Tulonopeus: 17,4 km/s
Radiantin R,A,: 09:59 (149,8°)
Radiantin Dekl,: 17,1°
Meteoriparvi: Sporadinen
Meteoroidin rataelementit:
Perihelietäisyys: 0,883 AU
Eksentrisyys: 0,666
Inklinaatio: 1,7°
Nousevan solmun pituus: 354,2°
Perihelin argumentti: 224,0°
Keskianomalia: 352,9°
Epookki: 2025 MAR 14 22:35:30
orbit plot

Ei-interaktiivinen kuvaaja | Interaktiivinen kuvaaja

position vs time
speed and acceleration