🇳🇴 🇬🇧 🇩🇪 🇨🇿 🇫🇮

Meteor, poloha: Kirkenær 2025-03-15 04:00:28 UTC

Soubor KML  |  InteraktivnĂ­ mapa

Mapa zobrazuje dráhy meteoru. Světlejší čáry ukazují směry od pozorovacích stanic při objevení se meteoru a tmavší čáry, kde byl naposledy viděn. Modrá šipka značí viditelnou dráhu meteoru.

static map
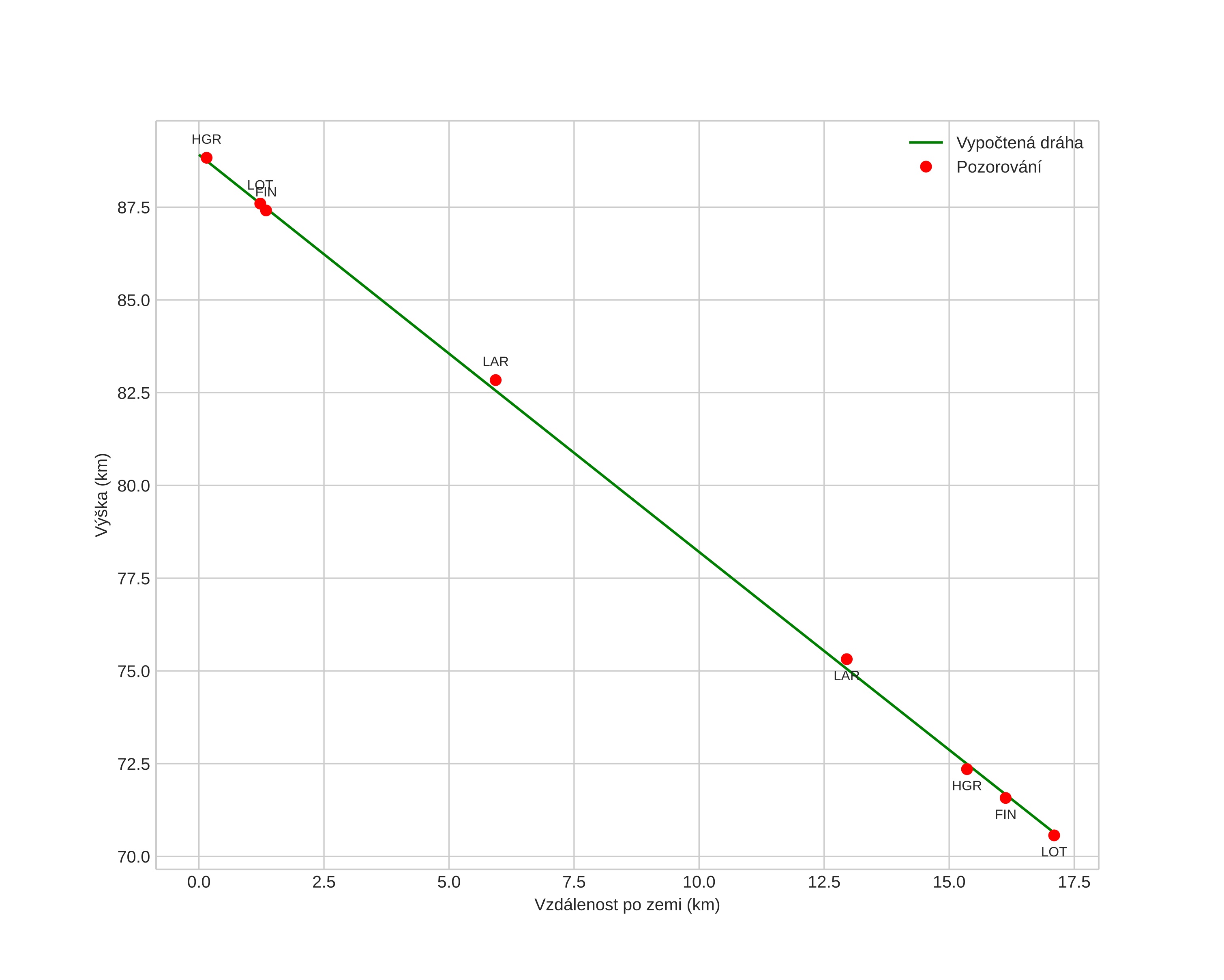
height profile
Atmosférická dráha meteoru:
Počáteční výška: 89,4 km
Konečná výška: 71,3 km
Počáteční poloha: 60,762N 12,431E
Konečná poloha: 60,644N 12,627E
Směr: 140,9°
Sklon: 46,9°
VstupnĂ­ rychlost: 16,5 km/s
Rektascenze radiantu: 08:51 (133,0°)
Deklinace radiantu: 57,9°
MeteorickĂ˝ roj: sporadickĂ˝
Elementy dráhy meteoroidu:
Vzdálenost v periheliu: 0,976 AU
Excentricita: 0,721
Sklon dráhy: 11,5°
Délka vzestupného uzlu: 354,5°
Argument perihelia: 196,9°
Střední anomálie: 358,1°
Epocha: 2025 MAR 15 04:00:28
orbit plot

NeinteraktivnĂ­ graf | InteraktivnĂ­ graf

position vs time
speed and acceleration