🇳🇴 🇬🇧 🇩🇪 🇨🇿 🇫🇮

Meteor Kirkenærin yllä 2025-03-15 04:00:28 UTC

KML-tiedosto  |  Interaktiivinen kartta

Kartta näyttää meteorin suuntahavainnot. Vaaleammat viivat näyttävät suunnat havaintoasemilta meteorin ilmestyessä, ja tummemmat viivat näyttävät, missä se viimeksi nähtiin. Sininen nuoli näyttää meteorin näkyvän lennon.

static map
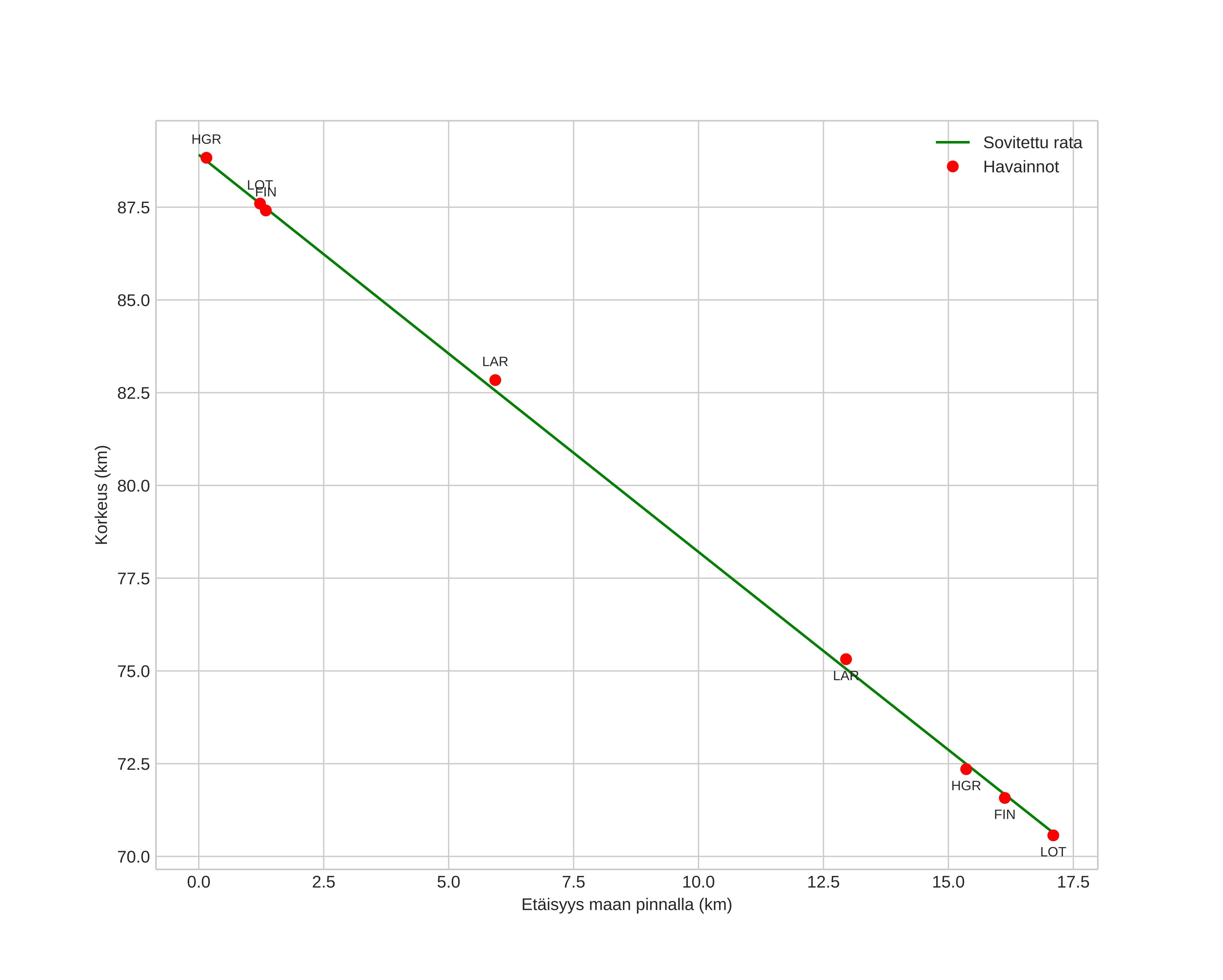
height profile
Meteorin ilmakehärata:
Alkukorkeus: 89,4 km
Loppukorkeus: 71,3 km
Alkupiste: 60,762N 12,431E
Loppupiste: 60,644N 12,627E
Suunta: 140,9°
Kallistuskulma: 46,9°
Tulonopeus: 16,5 km/s
Radiantin R,A,: 08:51 (133,0°)
Radiantin Dekl,: 57,9°
Meteoriparvi: Sporadinen
Meteoroidin rataelementit:
Perihelietäisyys: 0,976 AU
Eksentrisyys: 0,721
Inklinaatio: 11,5°
Nousevan solmun pituus: 354,5°
Perihelin argumentti: 196,9°
Keskianomalia: 358,1°
Epookki: 2025 MAR 15 04:00:28
orbit plot

Ei-interaktiivinen kuvaaja | Interaktiivinen kuvaaja

position vs time
speed and acceleration