🇳🇴 🇬🇧 🇩🇪 🇨🇿 🇫🇮

Meteor, poloha: Orkanger 2025-03-16 19:52:57 UTC

Soubor KML

Mapa zobrazuje dráhy meteoru. Světlejší čáry ukazují směry od pozorovacích stanic při objevení se meteoru a tmavší čáry, kde byl naposledy viděn. Modrá šipka značí viditelnou dráhu meteoru.

static map
height profile
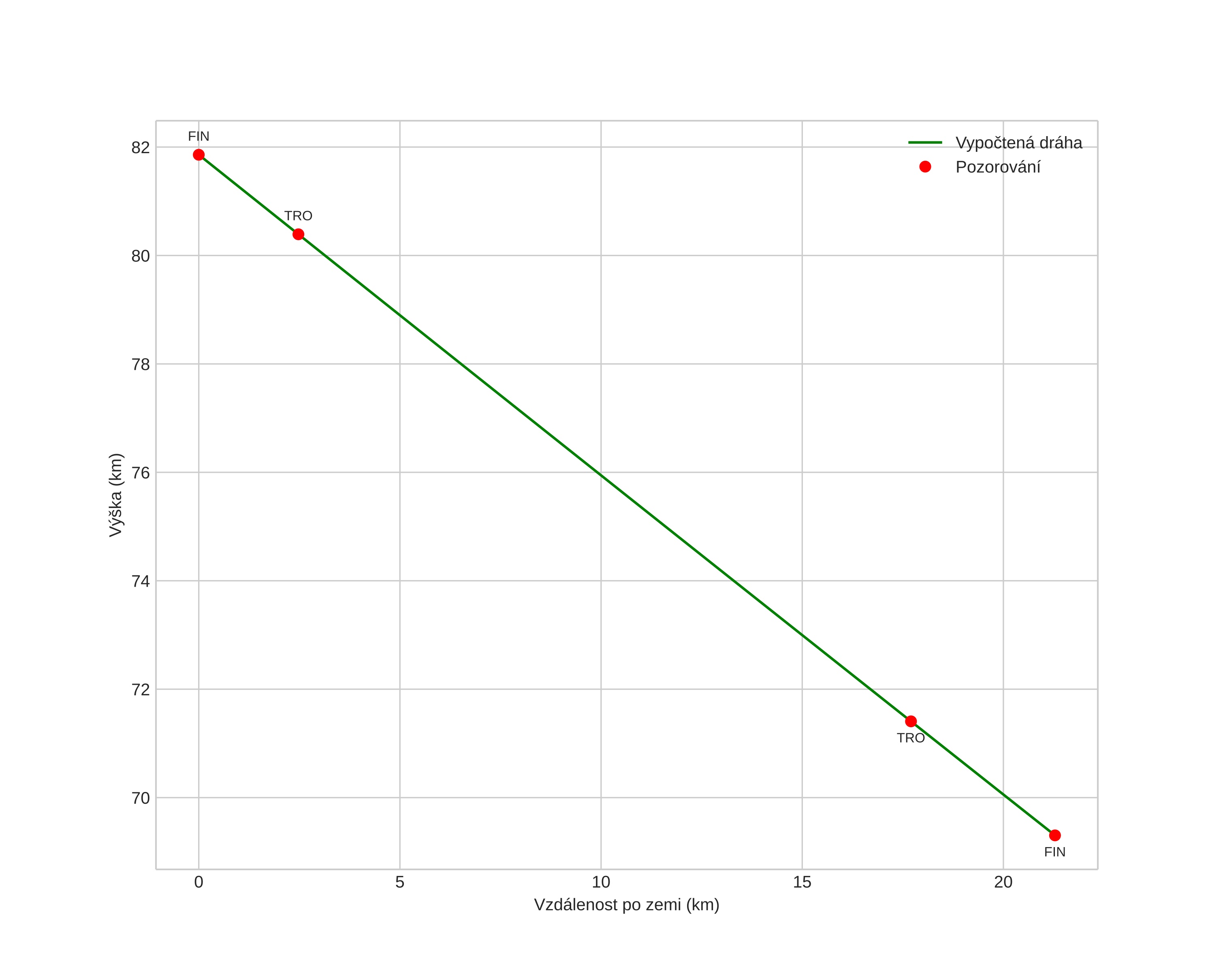
Atmosférická dráha meteoru:
Počáteční výška: 81,9 km
Konečná výška: 69,3 km
Počáteční poloha: 63,269N 10,211E
Konečná poloha: 63,350N 9,824E
Směr: 295,0°
Sklon: 30,6°
VstupnĂ­ rychlost: 25,7 km/s
Rektascenze radiantu: 11:53 (178,5°)
Deklinace radiantu: 14,1°
MeteorickĂ˝ roj: sporadickĂ˝
Elementy dráhy meteoroidu:
Vzdálenost v periheliu: 0,622 AU
Excentricita: 0,788
Sklon dráhy: 8,9°
Délka vzestupného uzlu: 356,1°
Argument perihelia: 261,4°
Střední anomálie: 351,6°
Epocha: 2025 MAR 16 19:52:57
orbit plot

NeinteraktivnĂ­ graf

position vs time
speed and acceleration