🇳🇴 🇬🇧 🇩🇪 🇨🇿 🇫🇮

Meteor Orkangerin yllä 2025-03-16 19:52:57 UTC

KML-tiedosto  |  Interaktiivinen kartta

Kartta näyttää meteorin suuntahavainnot. Vaaleammat viivat näyttävät suunnat havaintoasemilta meteorin ilmestyessä, ja tummemmat viivat näyttävät, missä se viimeksi nähtiin. Sininen nuoli näyttää meteorin näkyvän lennon.

static map
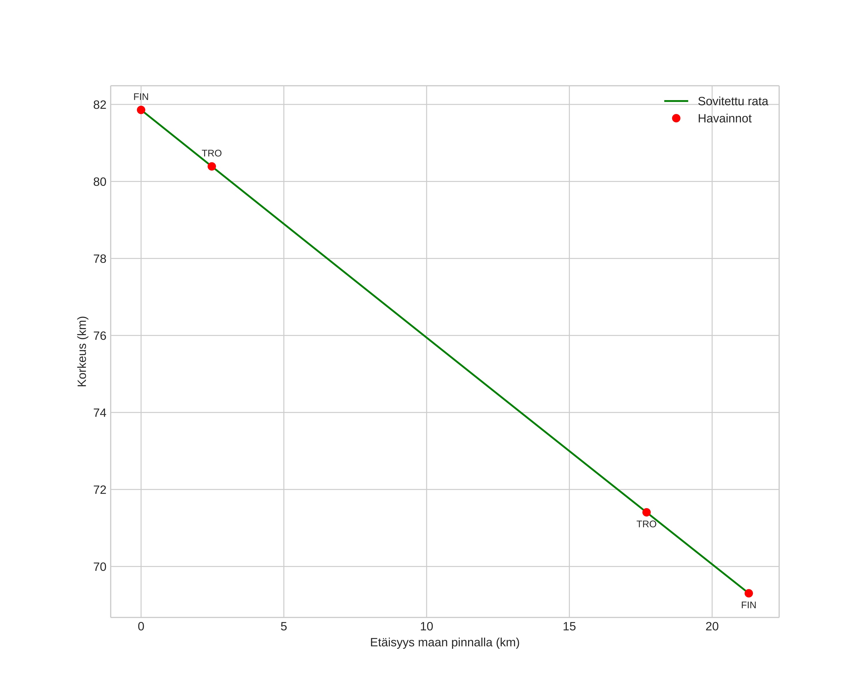
height profile
Meteorin ilmakehärata:
Alkukorkeus: 83,1 km
Loppukorkeus: 68,7 km
Alkupiste: 63,250N 10,272E
Loppupiste: 63,353N 9,807E
Suunta: 296,5°
Kallistuskulma: 29,1°
Tulonopeus: 25,2 km/s
Radiantin R,A,: 11:52 (178,1°)
Radiantin Dekl,: 11,8°
Meteoriparvi: Sporadinen
Meteoroidin rataelementit:
Perihelietäisyys: 0,617 AU
Eksentrisyys: 0,760
Inklinaatio: 7,2°
Nousevan solmun pituus: 356,1°
Perihelin argumentti: 263,1°
Keskianomalia: 349,5°
Epookki: 2025 MAR 16 19:52:57
orbit plot

Ei-interaktiivinen kuvaaja | Interaktiivinen kuvaaja

position vs time
speed and acceleration