🇳🇴 🇬🇧 🇩🇪 🇨🇿 🇫🇮

Meteor, poloha: Charlottenberg 2025-03-16 22:44:35 UTC

Soubor KML  |  InteraktivnĂ­ mapa

Mapa zobrazuje dráhy meteoru. Světlejší čáry ukazují směry od pozorovacích stanic při objevení se meteoru a tmavší čáry, kde byl naposledy viděn. Modrá šipka značí viditelnou dráhu meteoru.

static map
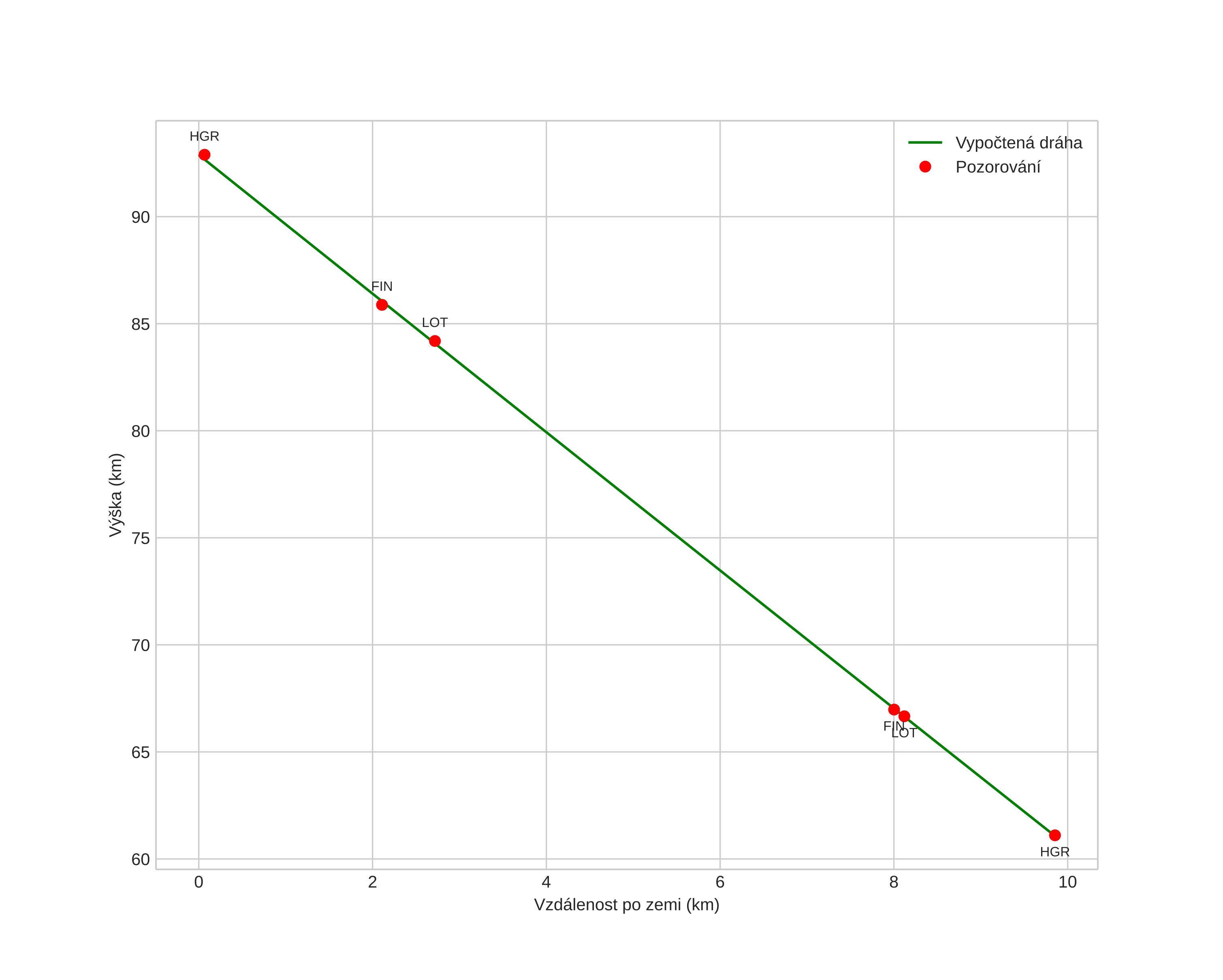
height profile
Atmosférická dráha meteoru:
Počáteční výška: 86,4 km
Konečná výška: 66,8 km
Počáteční poloha: 60,050N 12,691E
Konečná poloha: 60,084N 12,609E
Směr: 309,7°
Sklon: 73,3°
VstupnĂ­ rychlost: 22,6 km/s
Rektascenze radiantu: 12:29 (187,3°)
Deklinace radiantu: 46,8°
MeteorickĂ˝ roj: sporadickĂ˝
Elementy dráhy meteoroidu:
Vzdálenost v periheliu: 0,851 AU
Excentricita: 0,692
Sklon dráhy: 22,6°
Délka vzestupného uzlu: 356,2°
Argument perihelia: 229,7°
Střední anomálie: 352,7°
Epocha: 2025 MAR 16 22:44:35
orbit plot

NeinteraktivnĂ­ graf | InteraktivnĂ­ graf

position vs time
speed and acceleration