🇳🇴 🇬🇧 🇩🇪 🇨🇿 🇫🇮

Meteor Charlottenbergin yllä 2025-03-16 22:44:35 UTC

KML-tiedosto  |  Interaktiivinen kartta

Kartta näyttää meteorin suuntahavainnot. Vaaleammat viivat näyttävät suunnat havaintoasemilta meteorin ilmestyessä, ja tummemmat viivat näyttävät, missä se viimeksi nähtiin. Sininen nuoli näyttää meteorin näkyvän lennon.

static map
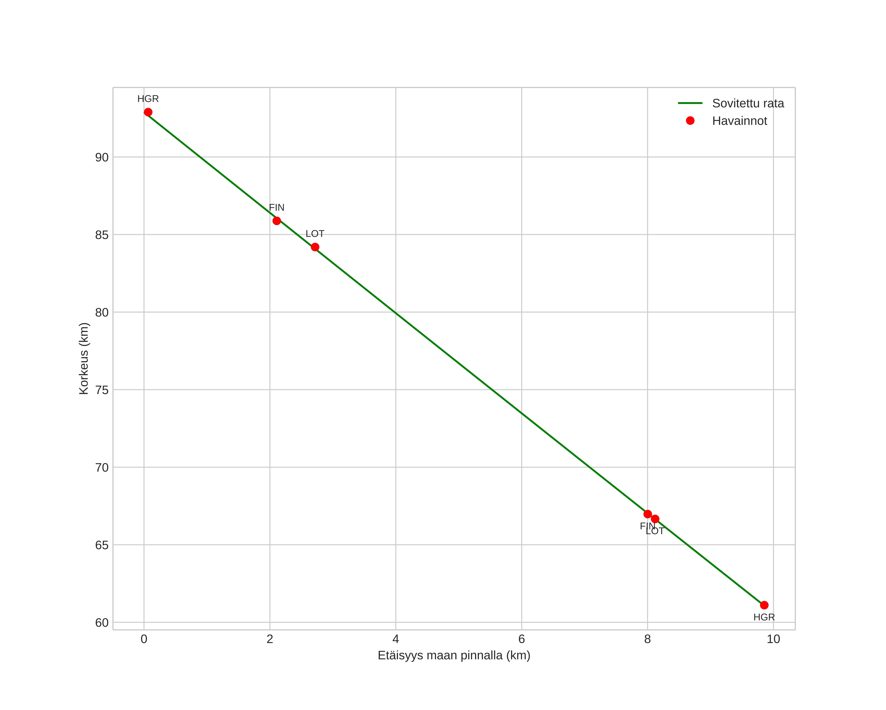
height profile
Meteorin ilmakehärata:
Alkukorkeus: 86,4 km
Loppukorkeus: 66,8 km
Alkupiste: 60,050N 12,691E
Loppupiste: 60,084N 12,609E
Suunta: 309,7°
Kallistuskulma: 73,3°
Tulonopeus: 22,6 km/s
Radiantin R,A,: 12:29 (187,3°)
Radiantin Dekl,: 46,8°
Meteoriparvi: Sporadinen
Meteoroidin rataelementit:
Perihelietäisyys: 0,851 AU
Eksentrisyys: 0,692
Inklinaatio: 22,6°
Nousevan solmun pituus: 356,2°
Perihelin argumentti: 229,7°
Keskianomalia: 352,7°
Epookki: 2025 MAR 16 22:44:35
orbit plot

Ei-interaktiivinen kuvaaja | Interaktiivinen kuvaaja

position vs time
speed and acceleration