🇳🇴 🇬🇧 🇩🇪 🇨🇿 🇫🇮

Meteor, poloha: Sand 2025-03-16 23:56:29 UTC

Soubor KML  |  InteraktivnĂ­ mapa

Mapa zobrazuje dráhy meteoru. Světlejší čáry ukazují směry od pozorovacích stanic při objevení se meteoru a tmavší čáry, kde byl naposledy viděn. Modrá šipka značí viditelnou dráhu meteoru.

static map
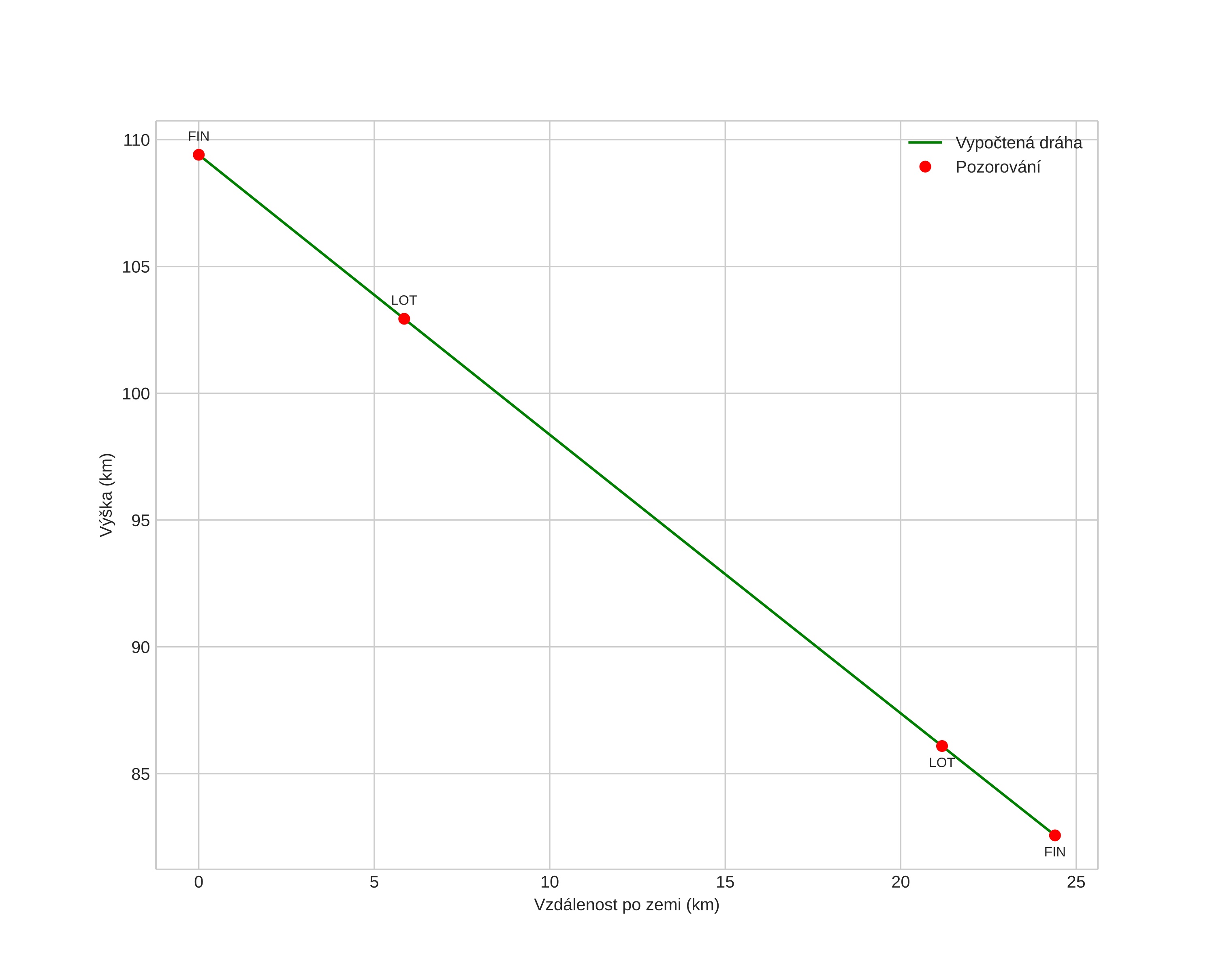
height profile
Atmosférická dráha meteoru:
Počáteční výška: 103,0 km
Konečná výška: 85,8 km
Počáteční poloha: 60,374N 11,725E
Konečná poloha: 60,325N 11,462E
Směr: 249,7°
Sklon: 48,2°
VstupnĂ­ rychlost: 41,0 km/s
Rektascenze radiantu: 17:24 (261,1°)
Deklinace radiantu: 49,3°
MeteorickĂ˝ roj: sporadickĂ˝
Elementy dráhy meteoroidu:
Vzdálenost v periheliu: 0,991 AU
Excentricita: 0,954
Sklon dráhy: 64,0°
Délka vzestupného uzlu: 356,3°
Argument perihelia: 187,7°
Střední anomálie: 359,9°
Epocha: 2025 MAR 16 23:56:29
orbit plot

NeinteraktivnĂ­ graf | InteraktivnĂ­ graf

position vs time
speed and acceleration