🇳🇴 🇬🇧 🇩🇪 🇨🇿 🇫🇮

Meteor über Sand 2025-03-16 23:56:29 UTC

KML-Datei  |  Interaktive Karte

Die Karte zeigt die Peilungen für den Meteor. Die helleren Linien zeigen die Richtungen von den Beobachtungsorten beim Erscheinen des Meteors, und die dunkleren Linien, wo er zuletzt gesehen wurde. Der blaue Pfeil zeigt die sichtbare Bahn des Meteors.

static map
height profile
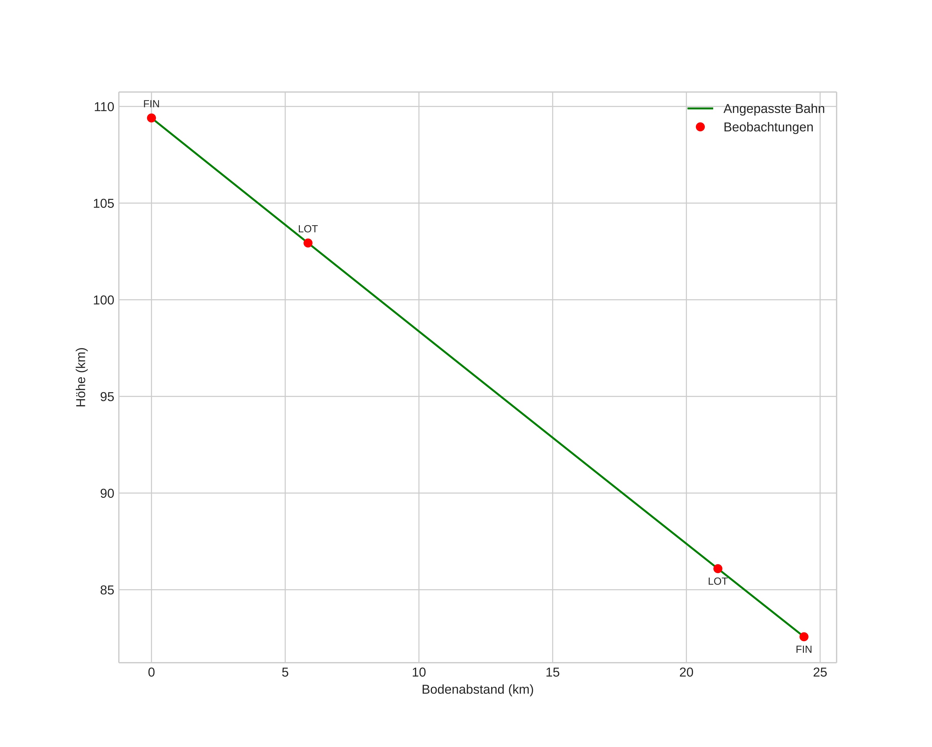
Atmosphärische Bahn des Meteors:
Anfangshöhe: 103,0 km
Endhöhe: 85,8 km
Startposition: 60,374N 11,725E
Endposition: 60,325N 11,462E
Richtung: 249,7°
Neigungswinkel: 48,2°
Eintrittsgeschwindigkeit: 41,0 km/s
Rektaszension des Radianten: 17:24 (261,1°)
Deklination des Radianten: 49,3°
Meteorstrom: sporadisch
Bahnelemente des Meteoroiden:
Periheldistanz: 0,991 AU
Exzentrizität: 0,954
Inklination: 64,0°
Länge des aufsteigenden Knotens: 356,3°
Argument des Perihels: 187,7°
Mittlere Anomalie: 359,9°
Epoche: 2025 MAR 16 23:56:29
orbit plot

Nicht-interaktives Diagramm | Interaktives Diagramm

position vs time
speed and acceleration