🇳🇴 🇬🇧 🇩🇪 🇨🇿 🇫🇮

Meteor, poloha: Vestby 2025-03-18 20:14:42 UTC

Soubor KML  |  InteraktivnĂ­ mapa

Mapa zobrazuje dráhy meteoru. Světlejší čáry ukazují směry od pozorovacích stanic při objevení se meteoru a tmavší čáry, kde byl naposledy viděn. Modrá šipka značí viditelnou dráhu meteoru.

static map
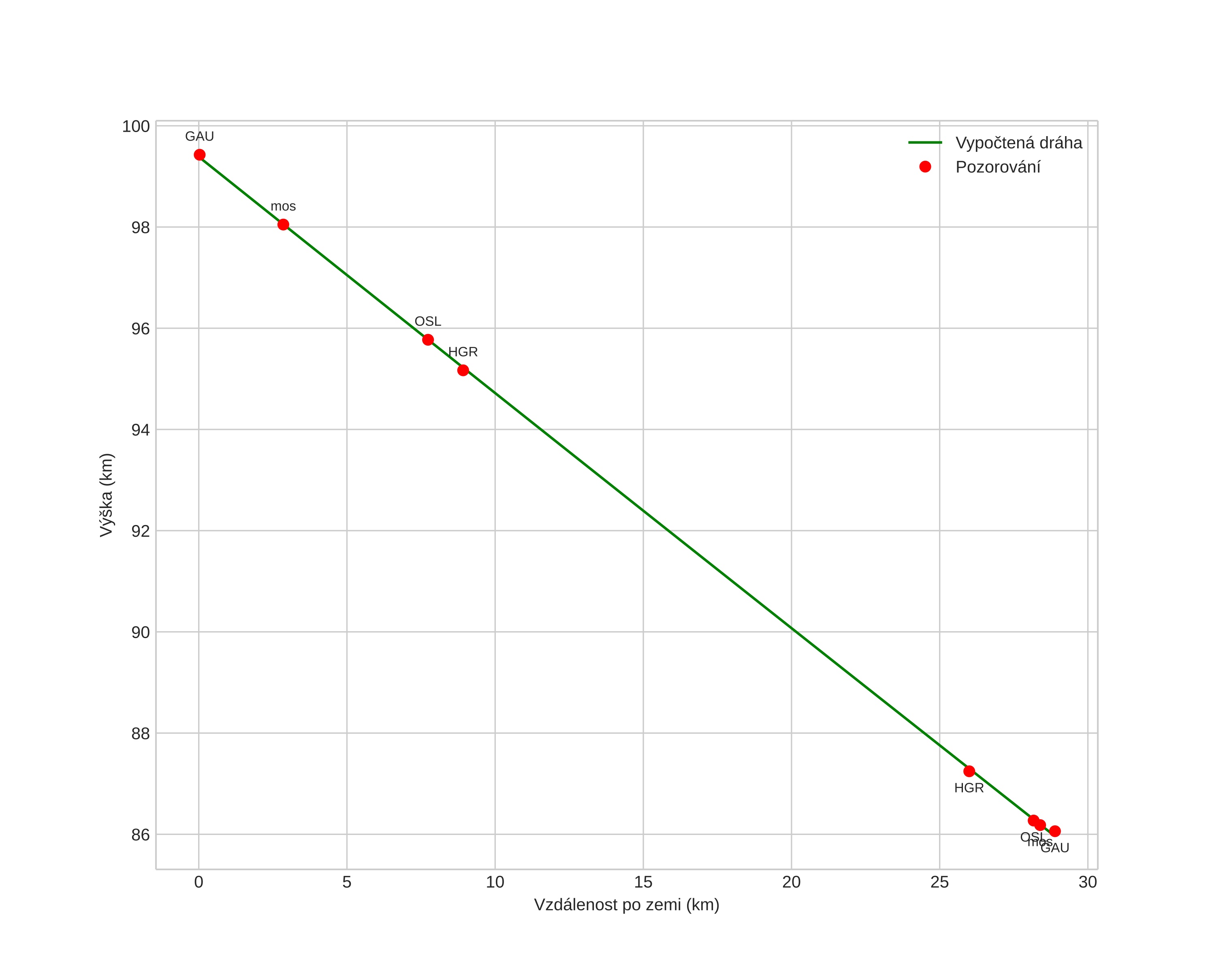
height profile
Atmosférická dráha meteoru:
Počáteční výška: 99,1 km
Konečná výška: 84,9 km
Počáteční poloha: 59,785N 10,970E
Konečná poloha: 59,555N 10,684E
Směr: 212,3°
Sklon: 25,2°
VstupnĂ­ rychlost: 38,1 km/s
Rektascenze radiantu: 17:40 (265,1°)
Deklinace radiantu: 47,5°
MeteorickĂ˝ roj: sporadickĂ˝
Elementy dráhy meteoroidu:
Vzdálenost v periheliu: 0,994 AU
Excentricita: 0,689
Sklon dráhy: 62,2°
Délka vzestupného uzlu: 358,1°
Argument perihelia: 184,4°
Střední anomálie: 359,4°
Epocha: 2025 MAR 18 20:14:42
orbit plot

NeinteraktivnĂ­ graf | InteraktivnĂ­ graf

position vs time
speed and acceleration