🇳🇴 🇬🇧 🇩🇪 🇨🇿 🇫🇮

Meteor Vestbyn yllä 2025-03-18 20:14:42 UTC

KML-tiedosto  |  Interaktiivinen kartta

Kartta näyttää meteorin suuntahavainnot. Vaaleammat viivat näyttävät suunnat havaintoasemilta meteorin ilmestyessä, ja tummemmat viivat näyttävät, missä se viimeksi nähtiin. Sininen nuoli näyttää meteorin näkyvän lennon.

static map
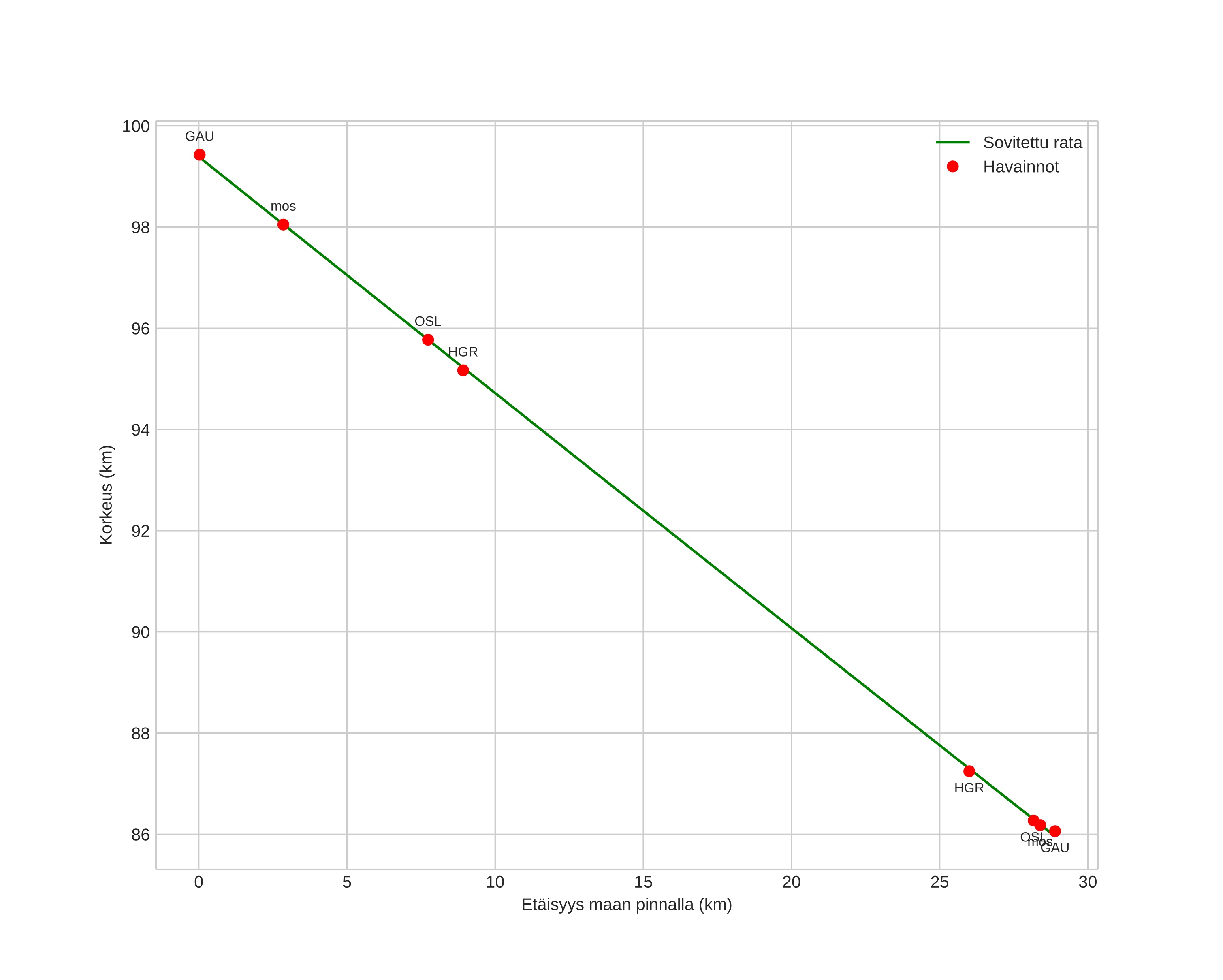
height profile
Meteorin ilmakehärata:
Alkukorkeus: 99,1 km
Loppukorkeus: 84,9 km
Alkupiste: 59,785N 10,970E
Loppupiste: 59,555N 10,684E
Suunta: 212,3°
Kallistuskulma: 25,2°
Tulonopeus: 38,1 km/s
Radiantin R,A,: 17:40 (265,1°)
Radiantin Dekl,: 47,5°
Meteoriparvi: Sporadinen
Meteoroidin rataelementit:
Perihelietäisyys: 0,994 AU
Eksentrisyys: 0,689
Inklinaatio: 62,2°
Nousevan solmun pituus: 358,1°
Perihelin argumentti: 184,4°
Keskianomalia: 359,4°
Epookki: 2025 MAR 18 20:14:42
orbit plot

Ei-interaktiivinen kuvaaja | Interaktiivinen kuvaaja

position vs time
speed and acceleration