🇳🇴 🇬🇧 🇩🇪 🇨🇿 🇫🇮

Meteor, poloha: Moelv 2025-03-18 21:32:11 UTC

Soubor KML  |  InteraktivnĂ­ mapa

Mapa zobrazuje dráhy meteoru. Světlejší čáry ukazují směry od pozorovacích stanic při objevení se meteoru a tmavší čáry, kde byl naposledy viděn. Modrá šipka značí viditelnou dráhu meteoru.

static map
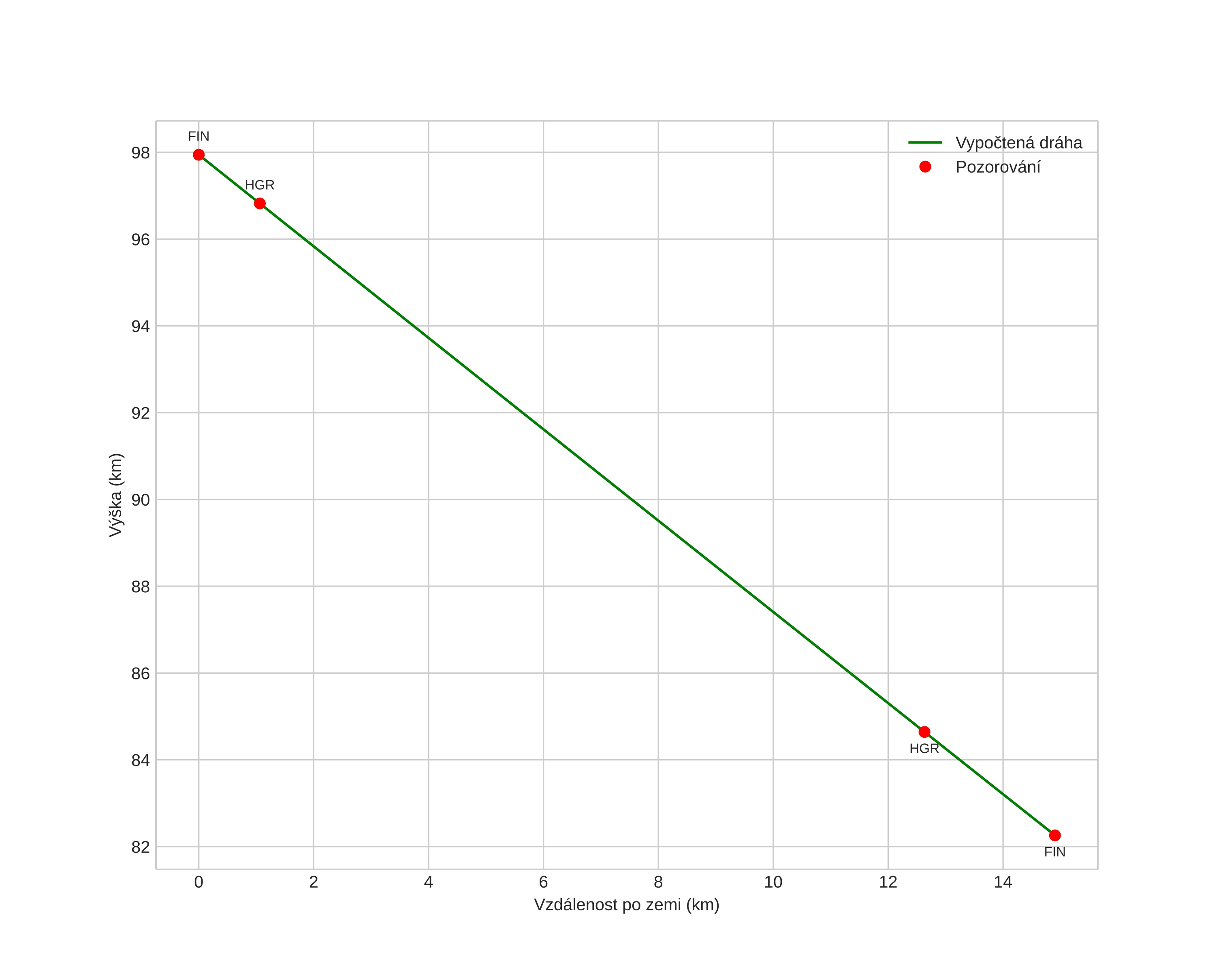
height profile
Atmosférická dráha meteoru:
Počáteční výška: 98,5 km
Konečná výška: 82,0 km
Počáteční poloha: 60,952N 10,941E
Konečná poloha: 61,068N 10,774E
Směr: 325,1°
Sklon: 46,4°
VstupnĂ­ rychlost: 24,5 km/s
Rektascenze radiantu: 11:42 (175,5°)
Deklinace radiantu: 18,6°
MeteorickĂ˝ roj: sporadickĂ˝
Elementy dráhy meteoroidu:
Vzdálenost v periheliu: 0,707 AU
Excentricita: 0,824
Sklon dráhy: 9,7°
Délka vzestupného uzlu: 358,2°
Argument perihelia: 249,0°
Střední anomálie: 355,2°
Epocha: 2025 MAR 18 21:32:11
orbit plot

NeinteraktivnĂ­ graf | InteraktivnĂ­ graf

position vs time
speed and acceleration