🇳🇴 🇬🇧 🇩🇪 🇨🇿 🇫🇮

Meteor Moelvin yllä 2025-03-18 21:32:11 UTC

KML-tiedosto  |  Interaktiivinen kartta

Kartta näyttää meteorin suuntahavainnot. Vaaleammat viivat näyttävät suunnat havaintoasemilta meteorin ilmestyessä, ja tummemmat viivat näyttävät, missä se viimeksi nähtiin. Sininen nuoli näyttää meteorin näkyvän lennon.

static map
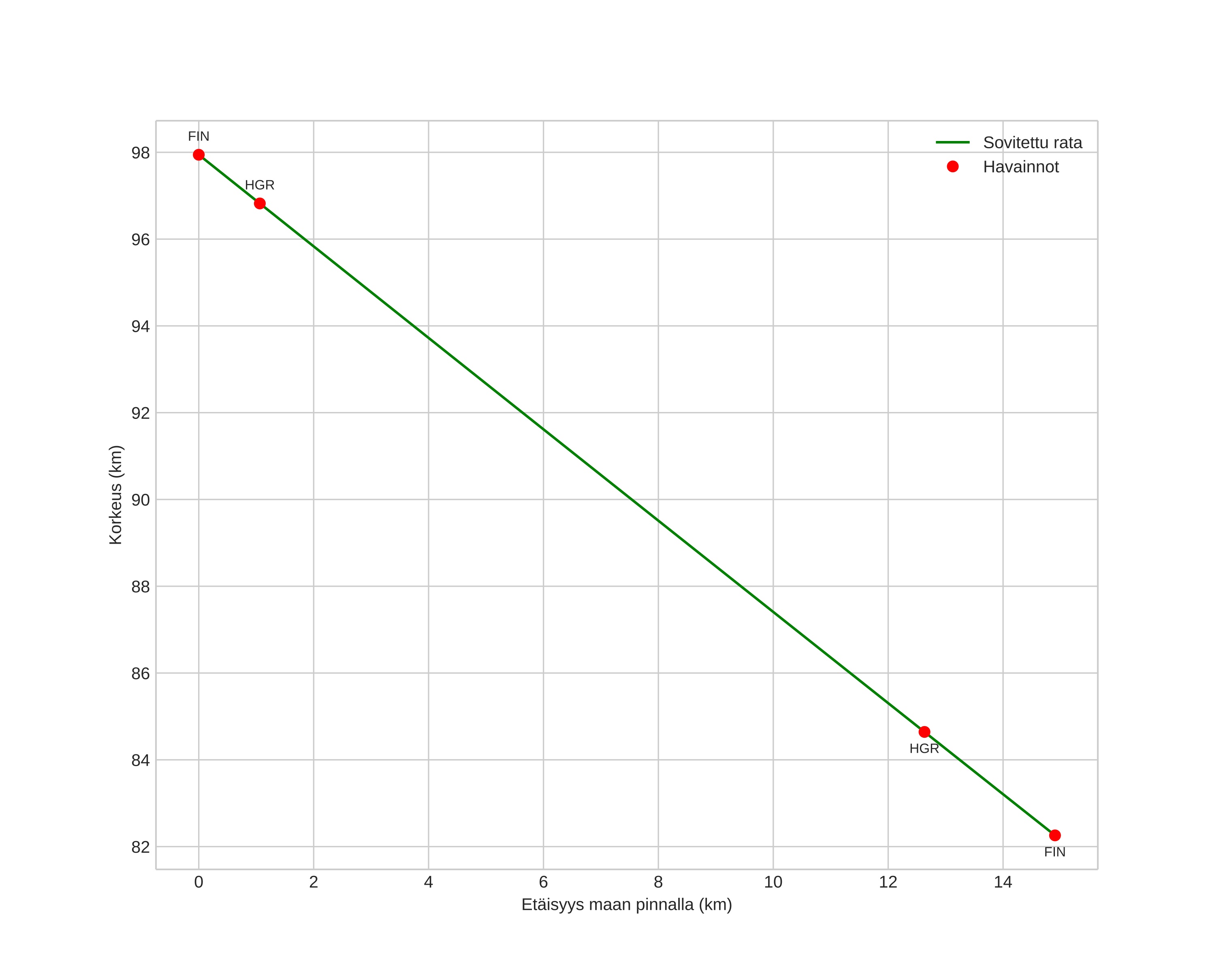
height profile
Meteorin ilmakehärata:
Alkukorkeus: 98,5 km
Loppukorkeus: 82,0 km
Alkupiste: 60,952N 10,941E
Loppupiste: 61,068N 10,774E
Suunta: 325,1°
Kallistuskulma: 46,4°
Tulonopeus: 24,5 km/s
Radiantin R,A,: 11:42 (175,5°)
Radiantin Dekl,: 18,6°
Meteoriparvi: Sporadinen
Meteoroidin rataelementit:
Perihelietäisyys: 0,707 AU
Eksentrisyys: 0,824
Inklinaatio: 9,7°
Nousevan solmun pituus: 358,2°
Perihelin argumentti: 249,0°
Keskianomalia: 355,2°
Epookki: 2025 MAR 18 21:32:11
orbit plot

Ei-interaktiivinen kuvaaja | Interaktiivinen kuvaaja

position vs time
speed and acceleration