🇳🇴 🇬🇧 🇩🇪 🇨🇿 🇫🇮

Meteor, poloha: Sand 2025-03-18 22:06:08 UTC

Soubor KML  |  InteraktivnĂ­ mapa

Mapa zobrazuje dráhy meteoru. Světlejší čáry ukazují směry od pozorovacích stanic při objevení se meteoru a tmavší čáry, kde byl naposledy viděn. Modrá šipka značí viditelnou dráhu meteoru.

static map
height profile
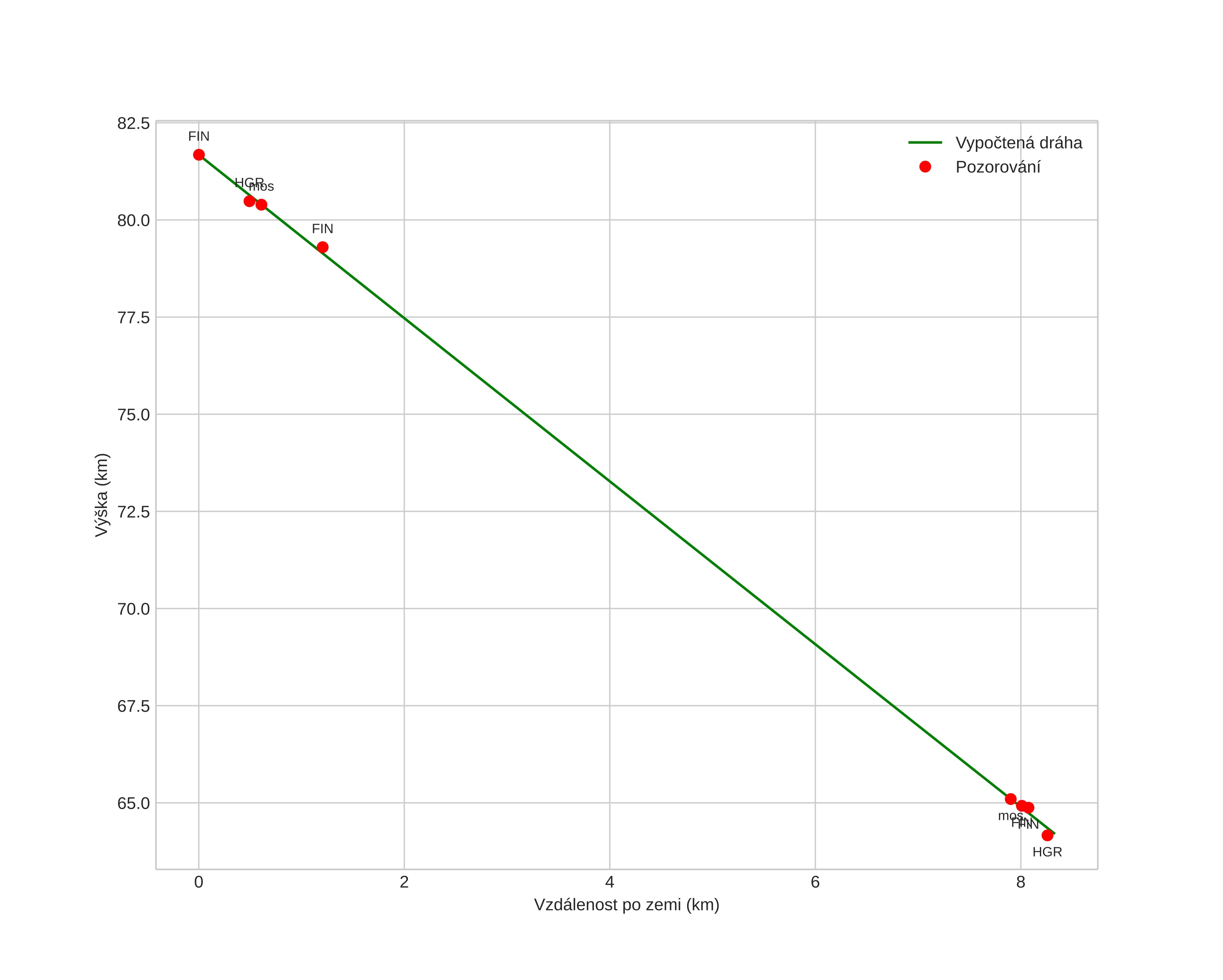
Atmosférická dráha meteoru:
Počáteční výška: 81,6 km
Konečná výška: 64,7 km
Počáteční poloha: 60,457N 11,609E
Konečná poloha: 60,529N 11,586E
Směr: 351,2°
Sklon: 64,3°
VstupnĂ­ rychlost: 18,8 km/s
Rektascenze radiantu: 10:53 (163,5°)
Deklinace radiantu: 32,2°
MeteorickĂ˝ roj: sporadickĂ˝
Elementy dráhy meteoroidu:
Vzdálenost v periheliu: 0,878 AU
Excentricita: 0,699
Sklon dráhy: 9,3°
Délka vzestupného uzlu: 358,2°
Argument perihelia: 224,5°
Střední anomálie: 353,9°
Epocha: 2025 MAR 18 22:06:08
orbit plot

NeinteraktivnĂ­ graf | InteraktivnĂ­ graf

position vs time
speed and acceleration