🇳🇴 🇬🇧 🇩🇪 🇨🇿 🇫🇮

Meteor Sandin yllä 2025-03-18 22:06:08 UTC

KML-tiedosto  |  Interaktiivinen kartta

Kartta näyttää meteorin suuntahavainnot. Vaaleammat viivat näyttävät suunnat havaintoasemilta meteorin ilmestyessä, ja tummemmat viivat näyttävät, missä se viimeksi nähtiin. Sininen nuoli näyttää meteorin näkyvän lennon.

static map
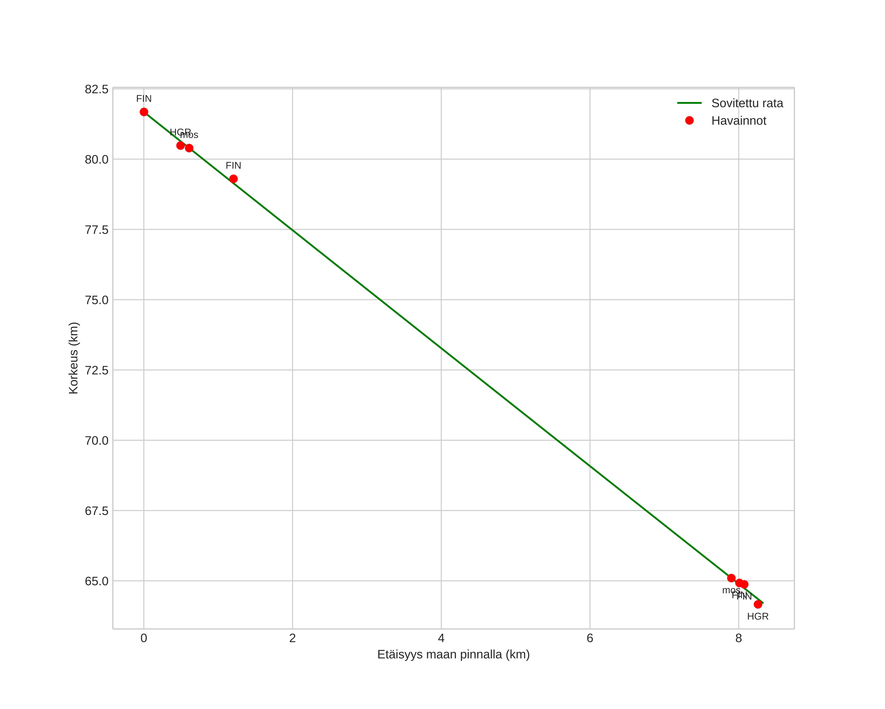
height profile
Meteorin ilmakehärata:
Alkukorkeus: 81,6 km
Loppukorkeus: 64,7 km
Alkupiste: 60,457N 11,609E
Loppupiste: 60,529N 11,586E
Suunta: 351,2°
Kallistuskulma: 64,3°
Tulonopeus: 18,8 km/s
Radiantin R,A,: 10:53 (163,5°)
Radiantin Dekl,: 32,2°
Meteoriparvi: Sporadinen
Meteoroidin rataelementit:
Perihelietäisyys: 0,878 AU
Eksentrisyys: 0,699
Inklinaatio: 9,3°
Nousevan solmun pituus: 358,2°
Perihelin argumentti: 224,5°
Keskianomalia: 353,9°
Epookki: 2025 MAR 18 22:06:08
orbit plot

Ei-interaktiivinen kuvaaja | Interaktiivinen kuvaaja

position vs time
speed and acceleration