🇳🇴 🇬🇧 🇩🇪 🇨🇿 🇫🇮

Meteor, poloha: Skreia 2025-03-19 00:52:19 UTC

Soubor KML  |  InteraktivnĂ­ mapa

Mapa zobrazuje dráhy meteoru. Světlejší čáry ukazují směry od pozorovacích stanic při objevení se meteoru a tmavší čáry, kde byl naposledy viděn. Modrá šipka značí viditelnou dráhu meteoru.

static map
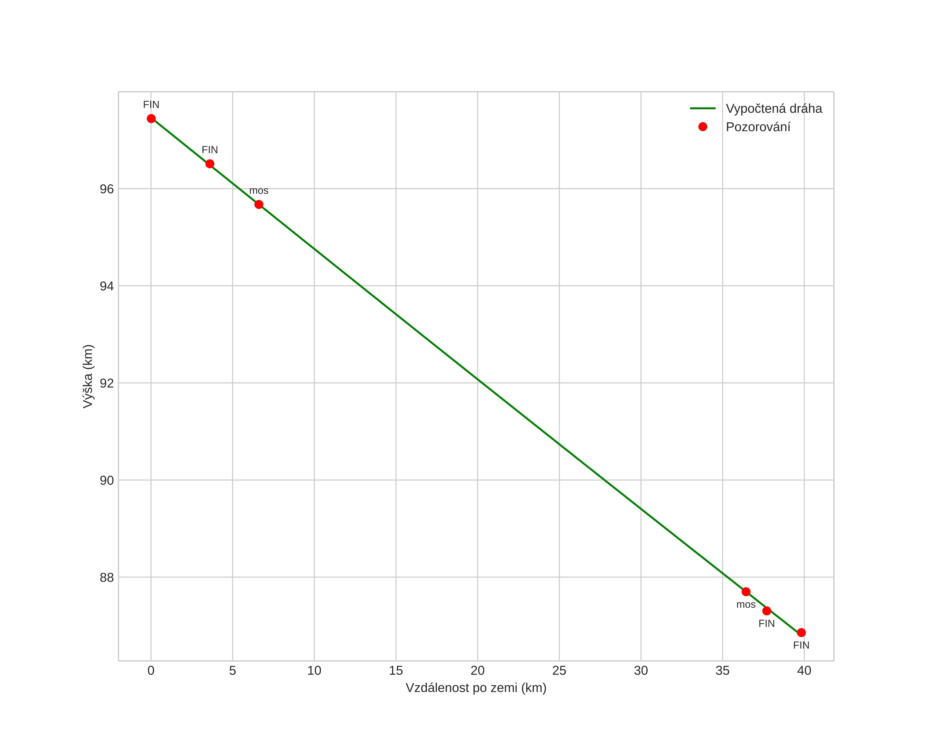
height profile
Atmosférická dráha meteoru:
Počáteční výška: 97,5 km
Konečná výška: 86,7 km
Počáteční poloha: 60,181N 11,022E
Konečná poloha: 60,537N 10,979E
Směr: 356,6°
Sklon: 15,2°
VstupnĂ­ rychlost: 41,2 km/s
Rektascenze radiantu: 13:34 (203,6°)
Deklinace radiantu: -16,1°
MeteorickĂ˝ roj: sporadickĂ˝
Elementy dráhy meteoroidu:
Vzdálenost v periheliu: 0,072 AU
Excentricita: 0,959
Sklon dráhy: 20,9°
Délka vzestupného uzlu: 178,3°
Argument perihelia: 153,5°
Střední anomálie: 345,8°
Epocha: 2025 MAR 19 00:52:19
orbit plot

NeinteraktivnĂ­ graf | InteraktivnĂ­ graf

position vs time
speed and acceleration