🇳🇴 🇬🇧 🇩🇪 🇨🇿 🇫🇮

Meteor Skreian yllä 2025-03-19 00:52:19 UTC

KML-tiedosto  |  Interaktiivinen kartta

Kartta näyttää meteorin suuntahavainnot. Vaaleammat viivat näyttävät suunnat havaintoasemilta meteorin ilmestyessä, ja tummemmat viivat näyttävät, missä se viimeksi nähtiin. Sininen nuoli näyttää meteorin näkyvän lennon.

static map
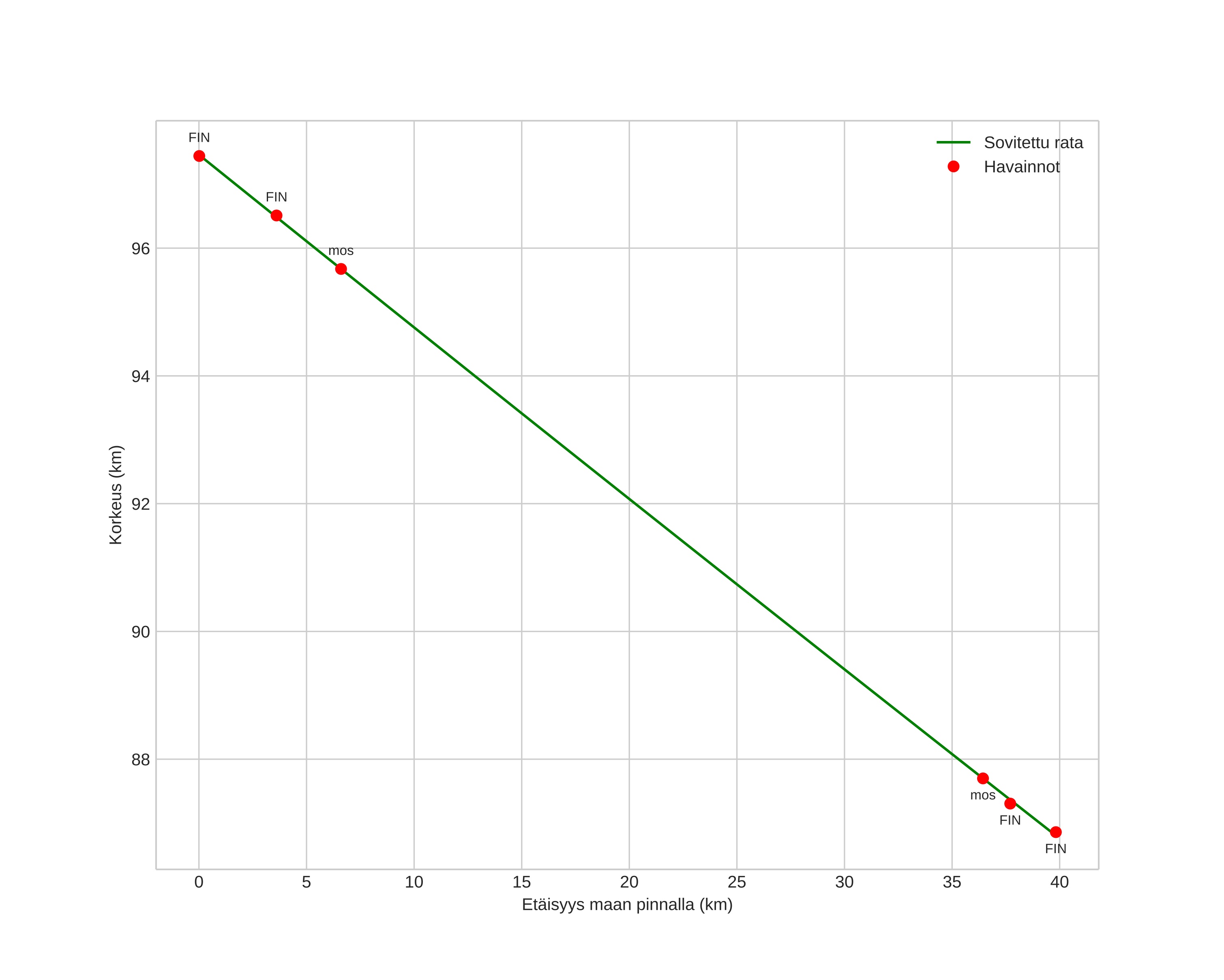
height profile
Meteorin ilmakehärata:
Alkukorkeus: 97,5 km
Loppukorkeus: 86,7 km
Alkupiste: 60,181N 11,022E
Loppupiste: 60,537N 10,979E
Suunta: 356,6°
Kallistuskulma: 15,2°
Tulonopeus: 41,2 km/s
Radiantin R,A,: 13:34 (203,6°)
Radiantin Dekl,: -16,1°
Meteoriparvi: Sporadinen
Meteoroidin rataelementit:
Perihelietäisyys: 0,072 AU
Eksentrisyys: 0,959
Inklinaatio: 20,9°
Nousevan solmun pituus: 178,3°
Perihelin argumentti: 153,5°
Keskianomalia: 345,8°
Epookki: 2025 MAR 19 00:52:19
orbit plot

Ei-interaktiivinen kuvaaja | Interaktiivinen kuvaaja

position vs time
speed and acceleration