🇳🇴 🇬🇧 🇩🇪 🇨🇿 🇫🇮

Meteor, poloha: Otta 2025-03-19 01:11:05 UTC

Soubor KML  |  InteraktivnĂ­ mapa

Mapa zobrazuje dráhy meteoru. Světlejší čáry ukazují směry od pozorovacích stanic při objevení se meteoru a tmavší čáry, kde byl naposledy viděn. Modrá šipka značí viditelnou dráhu meteoru.

static map
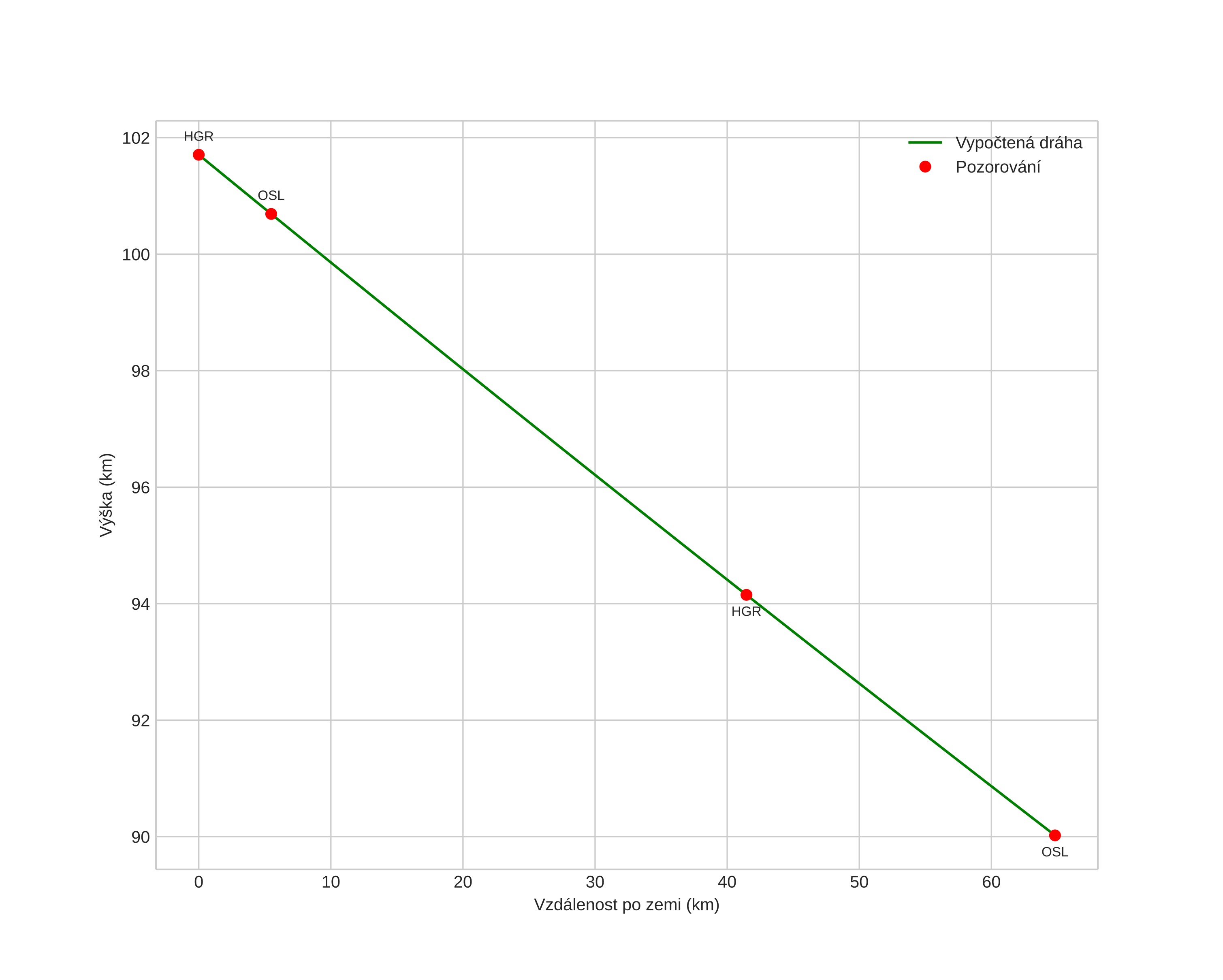
height profile
Atmosférická dráha meteoru:
Počáteční výška: 98,6 km
Konečná výška: 80,9 km
Počáteční poloha: 61,458N 9,289E
Konečná poloha: 61,928N 9,549E
Směr: 14,6°
Sklon: 18,2°
VstupnĂ­ rychlost: 36,1 km/s
Rektascenze radiantu: 12:35 (188,8°)
Deklinace radiantu: -11,4°
MeteorickĂ˝ roj: sporadickĂ˝
Elementy dráhy meteoroidu:
Vzdálenost v periheliu: 0,278 AU
Excentricita: 0,924
Sklon dráhy: 11,0°
Délka vzestupného uzlu: 178,3°
Argument perihelia: 120,0°
Střední anomálie: 354,6°
Epocha: 2025 MAR 19 01:11:05
orbit plot

NeinteraktivnĂ­ graf | InteraktivnĂ­ graf

position vs time
speed and acceleration