🇳🇴 🇬🇧 🇩🇪 🇨🇿 🇫🇮

Meteor Ottan yllä 2025-03-19 01:11:05 UTC

KML-tiedosto  |  Interaktiivinen kartta

Kartta näyttää meteorin suuntahavainnot. Vaaleammat viivat näyttävät suunnat havaintoasemilta meteorin ilmestyessä, ja tummemmat viivat näyttävät, missä se viimeksi nähtiin. Sininen nuoli näyttää meteorin näkyvän lennon.

static map
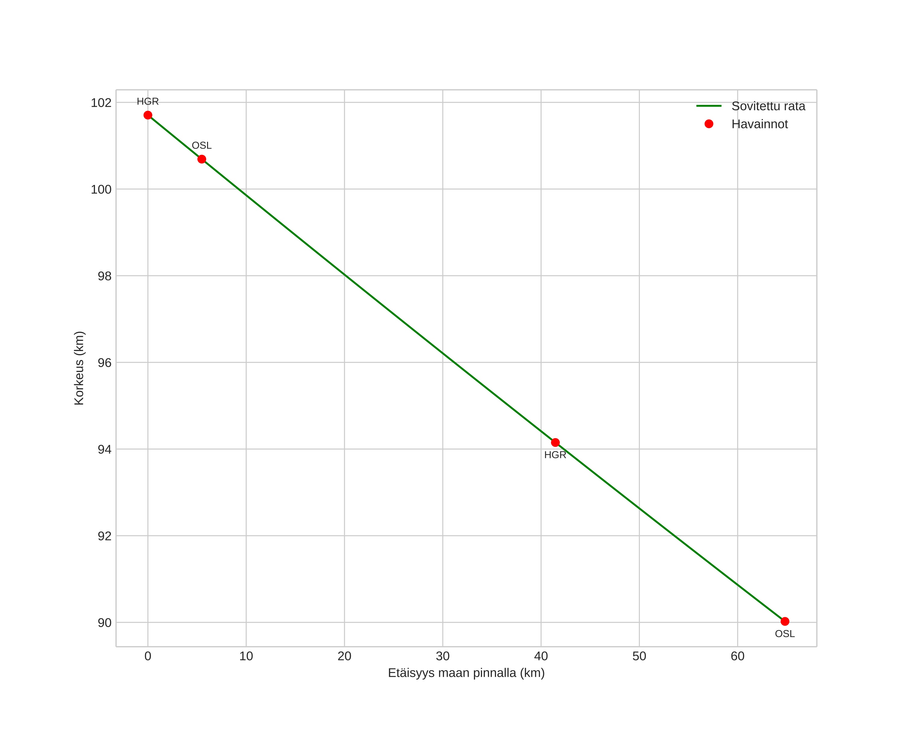
height profile
Meteorin ilmakehärata:
Alkukorkeus: 98,6 km
Loppukorkeus: 80,9 km
Alkupiste: 61,458N 9,289E
Loppupiste: 61,928N 9,549E
Suunta: 14,6°
Kallistuskulma: 18,2°
Tulonopeus: 36,1 km/s
Radiantin R,A,: 12:35 (188,8°)
Radiantin Dekl,: -11,4°
Meteoriparvi: Sporadinen
Meteoroidin rataelementit:
Perihelietäisyys: 0,278 AU
Eksentrisyys: 0,924
Inklinaatio: 11,0°
Nousevan solmun pituus: 178,3°
Perihelin argumentti: 120,0°
Keskianomalia: 354,6°
Epookki: 2025 MAR 19 01:11:05
orbit plot

Ei-interaktiivinen kuvaaja | Interaktiivinen kuvaaja

position vs time
speed and acceleration