🇳🇴 🇬🇧 🇩🇪 🇨🇿 🇫🇮

Meteor, poloha: Mora 2025-03-19 01:45:17 UTC

Soubor KML  |  InteraktivnĂ­ mapa

Mapa zobrazuje dráhy meteoru. Světlejší čáry ukazují směry od pozorovacích stanic při objevení se meteoru a tmavší čáry, kde byl naposledy viděn. Modrá šipka značí viditelnou dráhu meteoru.

static map
height profile
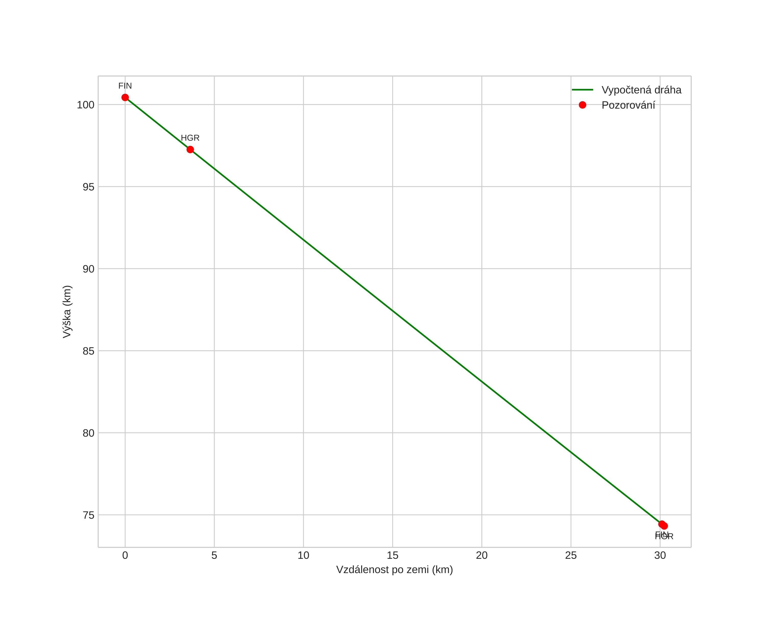
Atmosférická dráha meteoru:
Počáteční výška: 100,5 km
Konečná výška: 74,1 km
Počáteční poloha: 61,232N 15,028E
Konečná poloha: 61,083N 14,549E
Směr: 237,3°
Sklon: 40,7°
VstupnĂ­ rychlost: 31,3 km/s
Rektascenze radiantu: 20:54 (313,6°)
Deklinace radiantu: 49,1°
MeteorickĂ˝ roj: sporadickĂ˝
Elementy dráhy meteoroidu:
Vzdálenost v periheliu: 0,855 AU
Excentricita: 0,769
Sklon dráhy: 44,2°
Délka vzestupného uzlu: 358,4°
Argument perihelia: 132,5°
Střední anomálie: 4,4°
Epocha: 2025 MAR 19 01:45:17
orbit plot

NeinteraktivnĂ­ graf | InteraktivnĂ­ graf

position vs time
speed and acceleration