🇳🇴 🇬🇧 🇩🇪 🇨🇿 🇫🇮

Meteor Moran yllä 2025-03-19 01:45:17 UTC

KML-tiedosto  |  Interaktiivinen kartta

Kartta näyttää meteorin suuntahavainnot. Vaaleammat viivat näyttävät suunnat havaintoasemilta meteorin ilmestyessä, ja tummemmat viivat näyttävät, missä se viimeksi nähtiin. Sininen nuoli näyttää meteorin näkyvän lennon.

static map
height profile
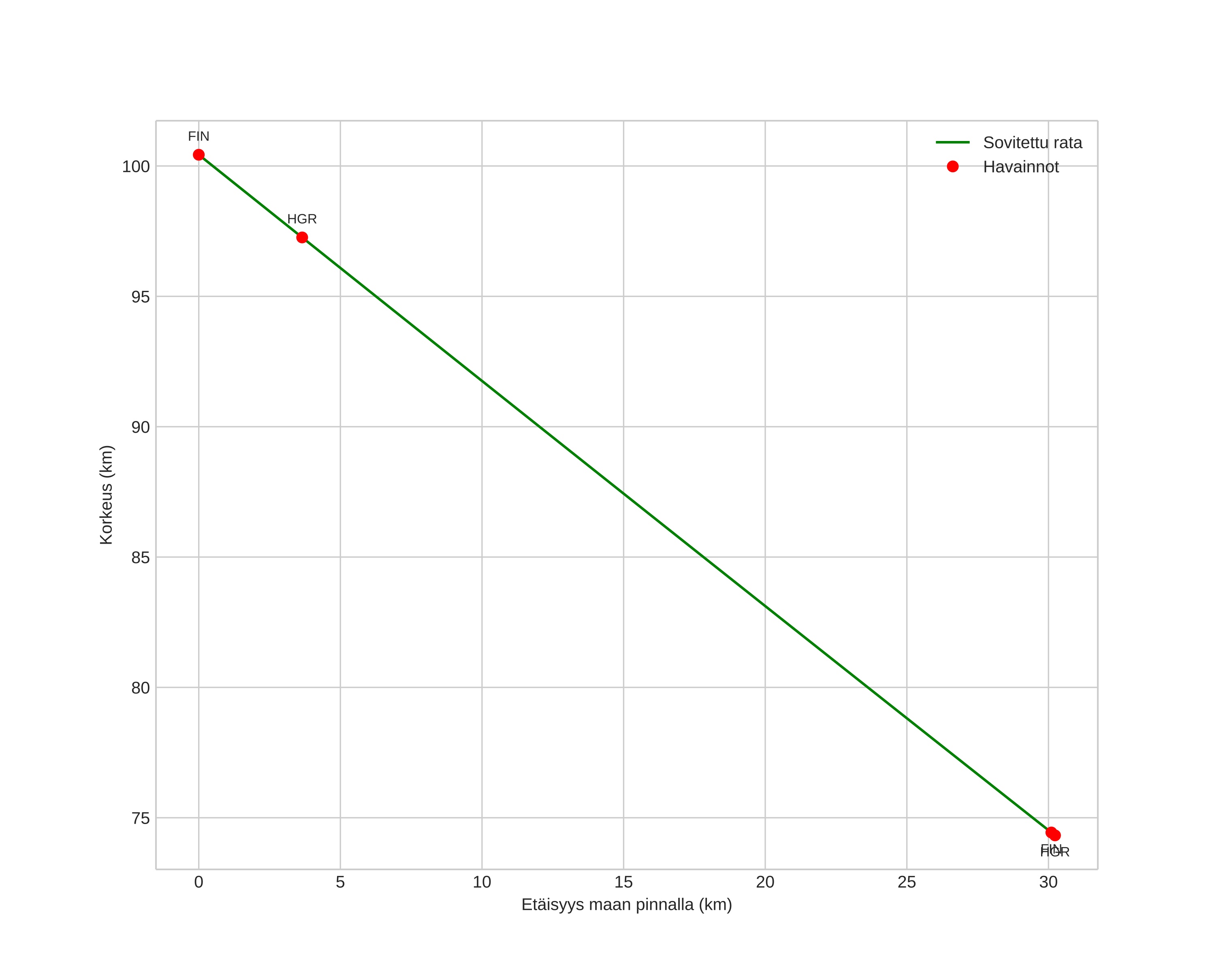
Meteorin ilmakehärata:
Alkukorkeus: 100,5 km
Loppukorkeus: 74,1 km
Alkupiste: 61,232N 15,028E
Loppupiste: 61,083N 14,549E
Suunta: 237,3°
Kallistuskulma: 40,7°
Tulonopeus: 31,3 km/s
Radiantin R,A,: 20:54 (313,6°)
Radiantin Dekl,: 49,1°
Meteoriparvi: Sporadinen
Meteoroidin rataelementit:
Perihelietäisyys: 0,855 AU
Eksentrisyys: 0,769
Inklinaatio: 44,2°
Nousevan solmun pituus: 358,4°
Perihelin argumentti: 132,5°
Keskianomalia: 4,4°
Epookki: 2025 MAR 19 01:45:17
orbit plot

Ei-interaktiivinen kuvaaja | Interaktiivinen kuvaaja

position vs time
speed and acceleration