🇳🇴 🇬🇧 🇩🇪 🇨🇿 🇫🇮

Meteor, poloha: Eidsvoll 2025-03-20 20:49:27 UTC

Soubor KML  |  InteraktivnĂ­ mapa

Mapa zobrazuje dráhy meteoru. Světlejší čáry ukazují směry od pozorovacích stanic při objevení se meteoru a tmavší čáry, kde byl naposledy viděn. Modrá šipka značí viditelnou dráhu meteoru.

static map
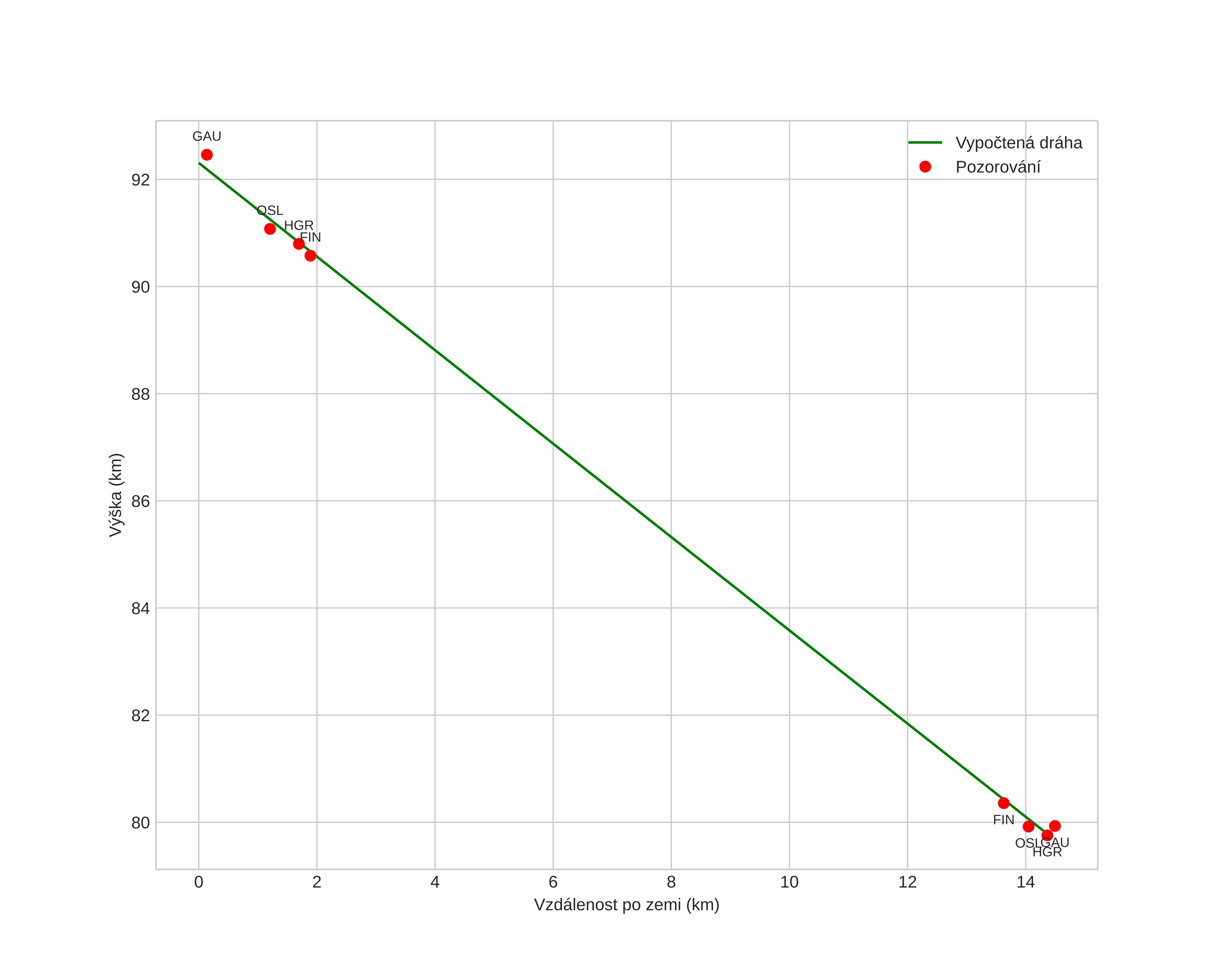
height profile
Atmosférická dráha meteoru:
Počáteční výška: 91,7 km
Konečná výška: 78,6 km
Počáteční poloha: 60,580N 11,319E
Konečná poloha: 60,448N 11,376E
Směr: 168,0°
Sklon: 41,2°
VstupnĂ­ rychlost: 20,5 km/s
Rektascenze radiantu: 23:06 (346,7°)
Deklinace radiantu: 64,6°
MeteorickĂ˝ roj: sporadickĂ˝
Elementy dráhy meteoroidu:
Vzdálenost v periheliu: 0,946 AU
Excentricita: 0,675
Sklon dráhy: 23,5°
Délka vzestupného uzlu: 0,1°
Argument perihelia: 151,1°
Střední anomálie: 4,3°
Epocha: 2025 MAR 20 20:49:27
orbit plot

NeinteraktivnĂ­ graf | InteraktivnĂ­ graf

position vs time
speed and acceleration