🇳🇴 🇬🇧 🇩🇪 🇨🇿 🇫🇮

Meteor Eidsvollin yllä 2025-03-20 20:49:27 UTC

KML-tiedosto  |  Interaktiivinen kartta

Kartta näyttää meteorin suuntahavainnot. Vaaleammat viivat näyttävät suunnat havaintoasemilta meteorin ilmestyessä, ja tummemmat viivat näyttävät, missä se viimeksi nähtiin. Sininen nuoli näyttää meteorin näkyvän lennon.

static map
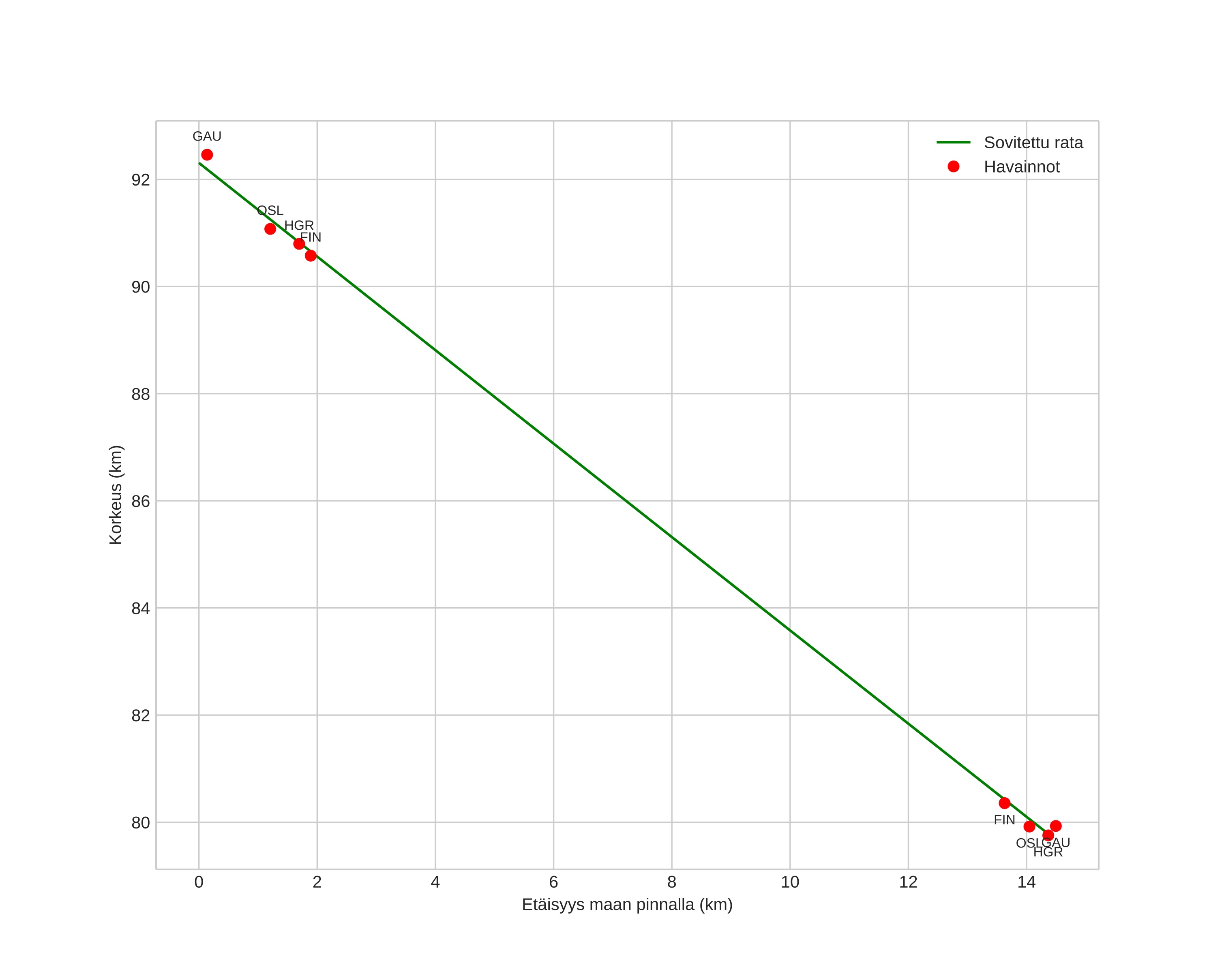
height profile
Meteorin ilmakehärata:
Alkukorkeus: 91,7 km
Loppukorkeus: 78,6 km
Alkupiste: 60,580N 11,319E
Loppupiste: 60,448N 11,376E
Suunta: 168,0°
Kallistuskulma: 41,2°
Tulonopeus: 20,5 km/s
Radiantin R,A,: 23:06 (346,7°)
Radiantin Dekl,: 64,6°
Meteoriparvi: Sporadinen
Meteoroidin rataelementit:
Perihelietäisyys: 0,946 AU
Eksentrisyys: 0,675
Inklinaatio: 23,5°
Nousevan solmun pituus: 0,1°
Perihelin argumentti: 151,1°
Keskianomalia: 4,3°
Epookki: 2025 MAR 20 20:49:27
orbit plot

Ei-interaktiivinen kuvaaja | Interaktiivinen kuvaaja

position vs time
speed and acceleration