🇳🇴 🇬🇧 🇩🇪 🇨🇿 🇫🇮

Meteor, poloha: Malung 2025-03-20 22:29:05 UTC

Soubor KML  |  InteraktivnĂ­ mapa

Mapa zobrazuje dráhy meteoru. Světlejší čáry ukazují směry od pozorovacích stanic při objevení se meteoru a tmavší čáry, kde byl naposledy viděn. Modrá šipka značí viditelnou dráhu meteoru.

static map
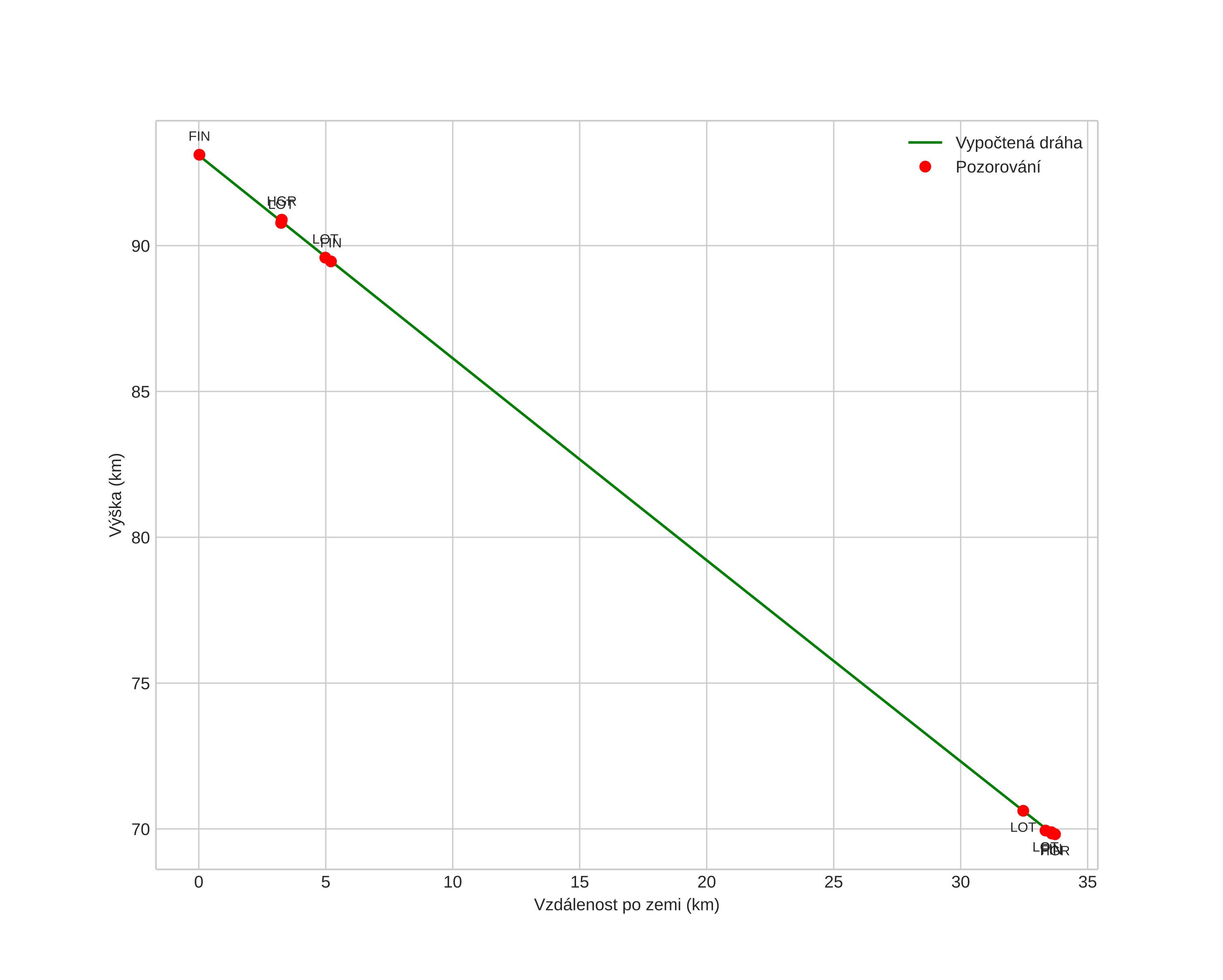
height profile
Atmosférická dráha meteoru:
Počáteční výška: 93,1 km
Konečná výška: 69,5 km
Počáteční poloha: 60,545N 13,773E
Konečná poloha: 60,835N 13,568E
Směr: 340,9°
Sklon: 34,7°
VstupnĂ­ rychlost: 27,1 km/s
Rektascenze radiantu: 12:19 (185,0°)
Deklinace radiantu: 3,9°
MeteorickĂ˝ roj: sporadickĂ˝
Elementy dráhy meteoroidu:
Vzdálenost v periheliu: 0,521 AU
Excentricita: 0,780
Sklon dráhy: 4,8°
Délka vzestupného uzlu: 0,2°
Argument perihelia: 275,0°
Střední anomálie: 347,9°
Epocha: 2025 MAR 20 22:29:05
orbit plot

NeinteraktivnĂ­ graf | InteraktivnĂ­ graf

position vs time
speed and acceleration