🇳🇴 🇬🇧 🇩🇪 🇨🇿 🇫🇮

Meteor über Malung 2025-03-20 22:29:05 UTC

KML-Datei  |  Interaktive Karte

Die Karte zeigt die Peilungen für den Meteor. Die helleren Linien zeigen die Richtungen von den Beobachtungsorten beim Erscheinen des Meteors, und die dunkleren Linien, wo er zuletzt gesehen wurde. Der blaue Pfeil zeigt die sichtbare Bahn des Meteors.

static map
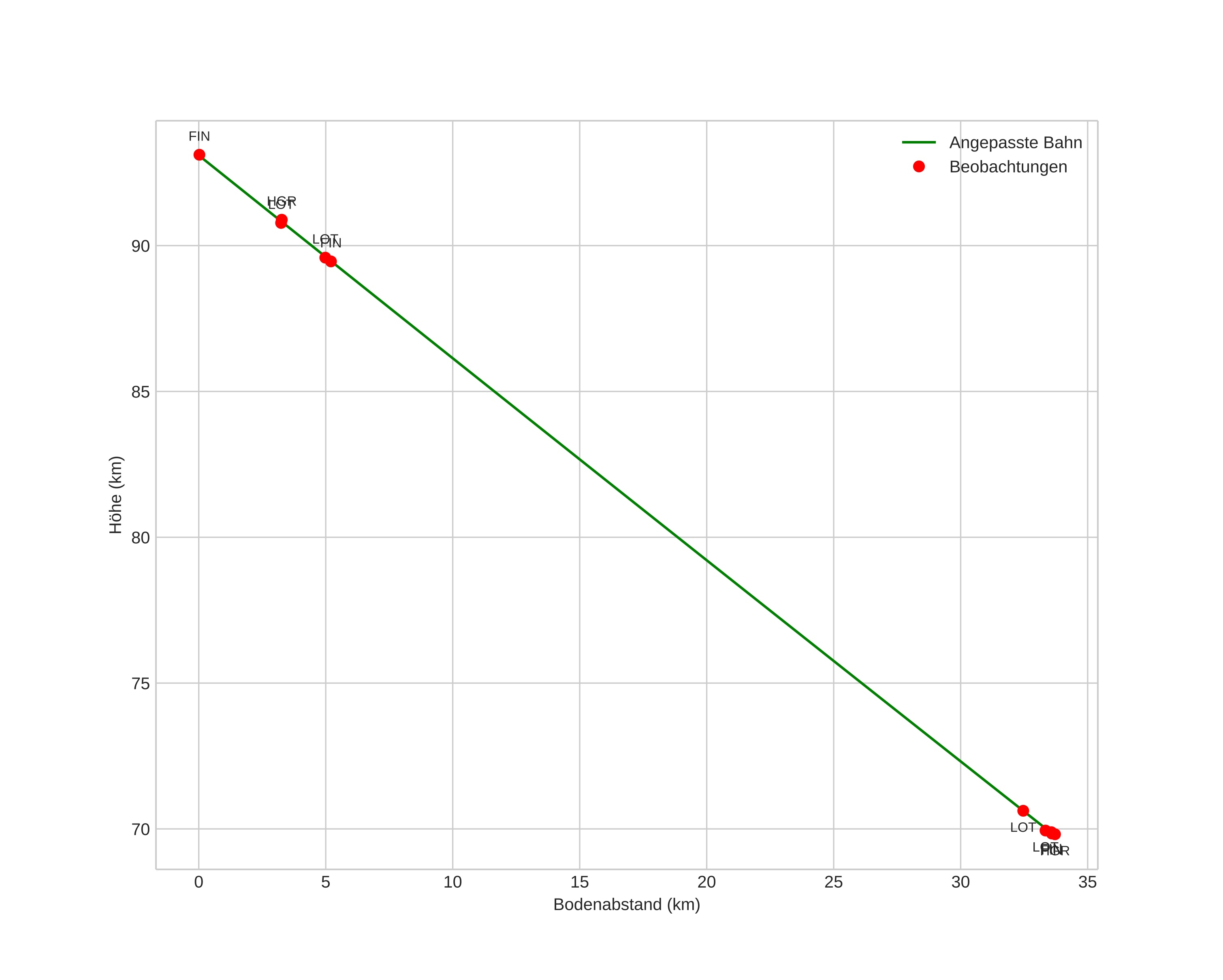
height profile
Atmosphärische Bahn des Meteors:
Anfangshöhe: 93,1 km
Endhöhe: 69,5 km
Startposition: 60,545N 13,773E
Endposition: 60,835N 13,568E
Richtung: 340,9°
Neigungswinkel: 34,7°
Eintrittsgeschwindigkeit: 27,1 km/s
Rektaszension des Radianten: 12:19 (185,0°)
Deklination des Radianten: 3,9°
Meteorstrom: sporadisch
Bahnelemente des Meteoroiden:
Periheldistanz: 0,521 AU
Exzentrizität: 0,780
Inklination: 4,8°
Länge des aufsteigenden Knotens: 0,2°
Argument des Perihels: 275,0°
Mittlere Anomalie: 347,9°
Epoche: 2025 MAR 20 22:29:05
orbit plot

Nicht-interaktives Diagramm | Interaktives Diagramm

position vs time
speed and acceleration