🇳🇴 🇬🇧 🇩🇪 🇨🇿 🇫🇮

Meteor, poloha: Bagn 2025-03-20 22:47:07 UTC

Soubor KML  |  InteraktivnĂ­ mapa

Mapa zobrazuje dráhy meteoru. Světlejší čáry ukazují směry od pozorovacích stanic při objevení se meteoru a tmavší čáry, kde byl naposledy viděn. Modrá šipka značí viditelnou dráhu meteoru.

static map
height profile
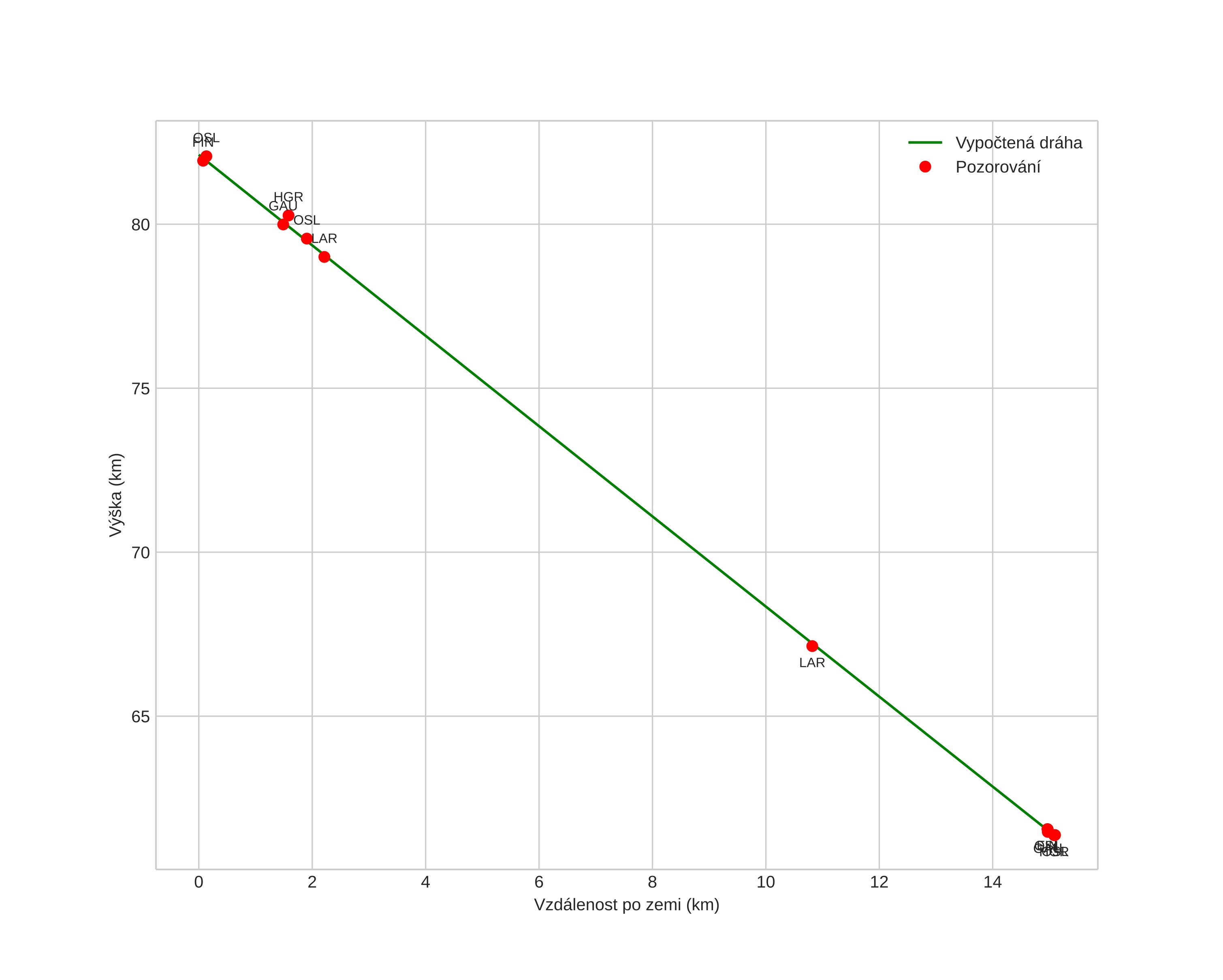
Atmosférická dráha meteoru:
Počáteční výška: 83,3 km
Konečná výška: 61,3 km
Počáteční poloha: 60,665N 9,478E
Konečná poloha: 60,809N 9,492E
Směr: 2,6°
Sklon: 54,0°
VstupnĂ­ rychlost: 18,2 km/s
Rektascenze radiantu: 11:07 (166,9°)
Deklinace radiantu: 20,4°
MeteorickĂ˝ roj: sporadickĂ˝
Elementy dráhy meteoroidu:
Vzdálenost v periheliu: 0,842 AU
Excentricita: 0,620
Sklon dráhy: 5,6°
Délka vzestupného uzlu: 0,2°
Argument perihelia: 233,3°
Střední anomálie: 349,0°
Epocha: 2025 MAR 20 22:47:07
orbit plot

NeinteraktivnĂ­ graf | InteraktivnĂ­ graf

position vs time
speed and acceleration