🇳🇴 🇬🇧 🇩🇪 🇨🇿 🇫🇮

Meteor Bagnin yllä 2025-03-20 22:47:07 UTC

KML-tiedosto  |  Interaktiivinen kartta

Kartta näyttää meteorin suuntahavainnot. Vaaleammat viivat näyttävät suunnat havaintoasemilta meteorin ilmestyessä, ja tummemmat viivat näyttävät, missä se viimeksi nähtiin. Sininen nuoli näyttää meteorin näkyvän lennon.

static map
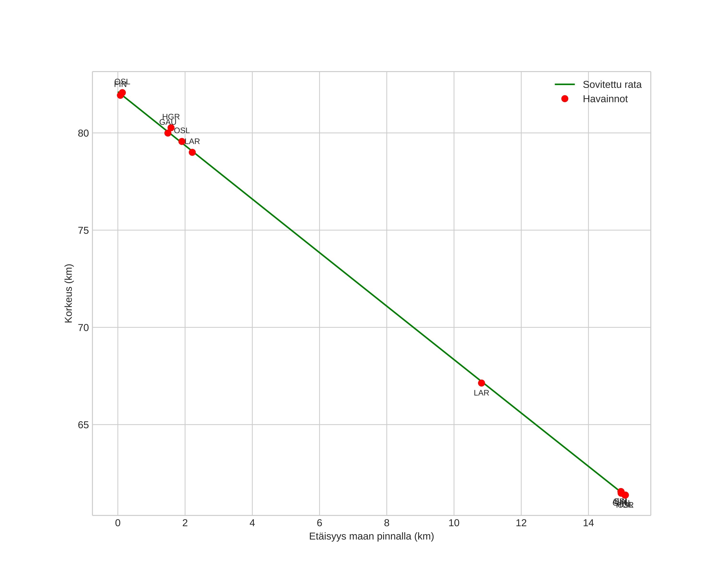
height profile
Meteorin ilmakehärata:
Alkukorkeus: 83,3 km
Loppukorkeus: 61,3 km
Alkupiste: 60,665N 9,478E
Loppupiste: 60,809N 9,492E
Suunta: 2,6°
Kallistuskulma: 54,0°
Tulonopeus: 18,2 km/s
Radiantin R,A,: 11:07 (166,9°)
Radiantin Dekl,: 20,4°
Meteoriparvi: Sporadinen
Meteoroidin rataelementit:
Perihelietäisyys: 0,842 AU
Eksentrisyys: 0,620
Inklinaatio: 5,6°
Nousevan solmun pituus: 0,2°
Perihelin argumentti: 233,3°
Keskianomalia: 349,0°
Epookki: 2025 MAR 20 22:47:07
orbit plot

Ei-interaktiivinen kuvaaja | Interaktiivinen kuvaaja

position vs time
speed and acceleration