🇳🇴 🇬🇧 🇩🇪 🇨🇿 🇫🇮

Meteor, poloha: Hylkje 2025-03-20 23:43:54 UTC

Soubor KML  |  InteraktivnĂ­ mapa

Mapa zobrazuje dráhy meteoru. Světlejší čáry ukazují směry od pozorovacích stanic při objevení se meteoru a tmavší čáry, kde byl naposledy viděn. Modrá šipka značí viditelnou dráhu meteoru.

static map
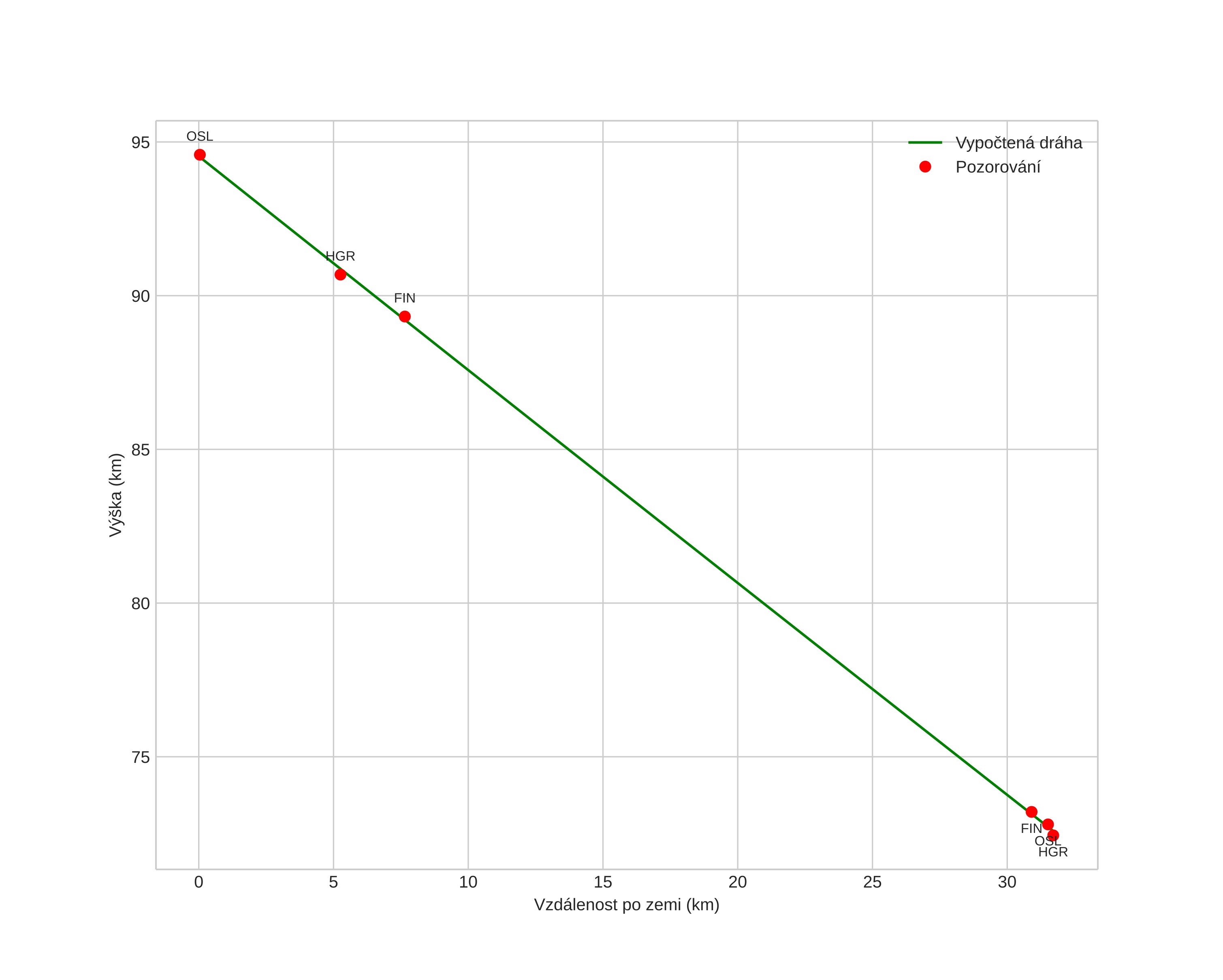
height profile
Atmosférická dráha meteoru:
Počáteční výška: 94,5 km
Konečná výška: 72,6 km
Počáteční poloha: 60,169N 5,466E
Konečná poloha: 60,451N 5,370E
Směr: 350,5°
Sklon: 34,6°
VstupnĂ­ rychlost: 29,5 km/s
Rektascenze radiantu: 12:29 (187,4°)
Deklinace radiantu: 2,9°
MeteorickĂ˝ roj: sporadickĂ˝
Elementy dráhy meteoroidu:
Vzdálenost v periheliu: 0,460 AU
Excentricita: 0,834
Sklon dráhy: 5,5°
Délka vzestupného uzlu: 0,3°
Argument perihelia: 280,5°
Střední anomálie: 350,8°
Epocha: 2025 MAR 20 23:43:54
orbit plot

NeinteraktivnĂ­ graf | InteraktivnĂ­ graf

position vs time
speed and acceleration