🇳🇴 🇬🇧 🇩🇪 🇨🇿 🇫🇮

Meteor Hylkjen yllä 2025-03-20 23:43:54 UTC

KML-tiedosto  |  Interaktiivinen kartta

Kartta näyttää meteorin suuntahavainnot. Vaaleammat viivat näyttävät suunnat havaintoasemilta meteorin ilmestyessä, ja tummemmat viivat näyttävät, missä se viimeksi nähtiin. Sininen nuoli näyttää meteorin näkyvän lennon.

static map
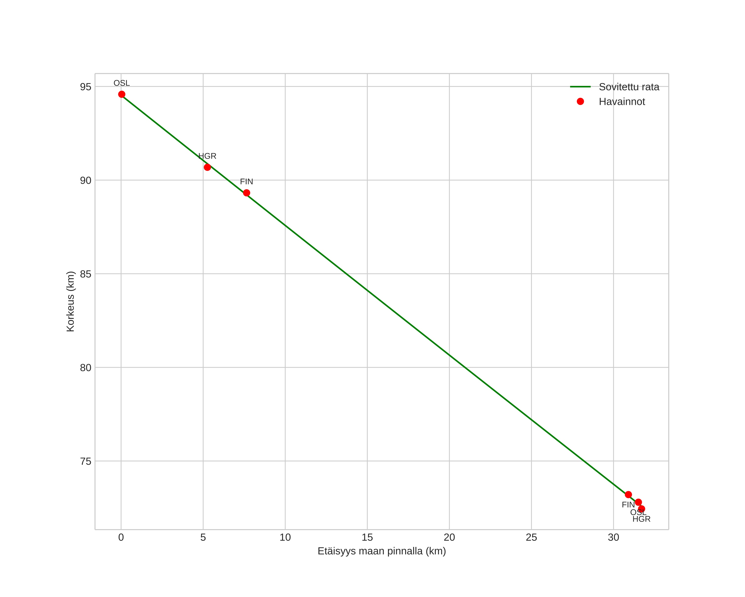
height profile
Meteorin ilmakehärata:
Alkukorkeus: 94,5 km
Loppukorkeus: 72,6 km
Alkupiste: 60,169N 5,466E
Loppupiste: 60,451N 5,370E
Suunta: 350,5°
Kallistuskulma: 34,6°
Tulonopeus: 29,5 km/s
Radiantin R,A,: 12:29 (187,4°)
Radiantin Dekl,: 2,9°
Meteoriparvi: Sporadinen
Meteoroidin rataelementit:
Perihelietäisyys: 0,460 AU
Eksentrisyys: 0,834
Inklinaatio: 5,5°
Nousevan solmun pituus: 0,3°
Perihelin argumentti: 280,5°
Keskianomalia: 350,8°
Epookki: 2025 MAR 20 23:43:54
orbit plot

Ei-interaktiivinen kuvaaja | Interaktiivinen kuvaaja

position vs time
speed and acceleration