🇳🇴 🇬🇧 🇩🇪 🇨🇿 🇫🇮

Meteor, poloha: Koppang 2025-03-21 00:59:14 UTC

Soubor KML  |  InteraktivnĂ­ mapa

Mapa zobrazuje dráhy meteoru. Světlejší čáry ukazují směry od pozorovacích stanic při objevení se meteoru a tmavší čáry, kde byl naposledy viděn. Modrá šipka značí viditelnou dráhu meteoru.

static map
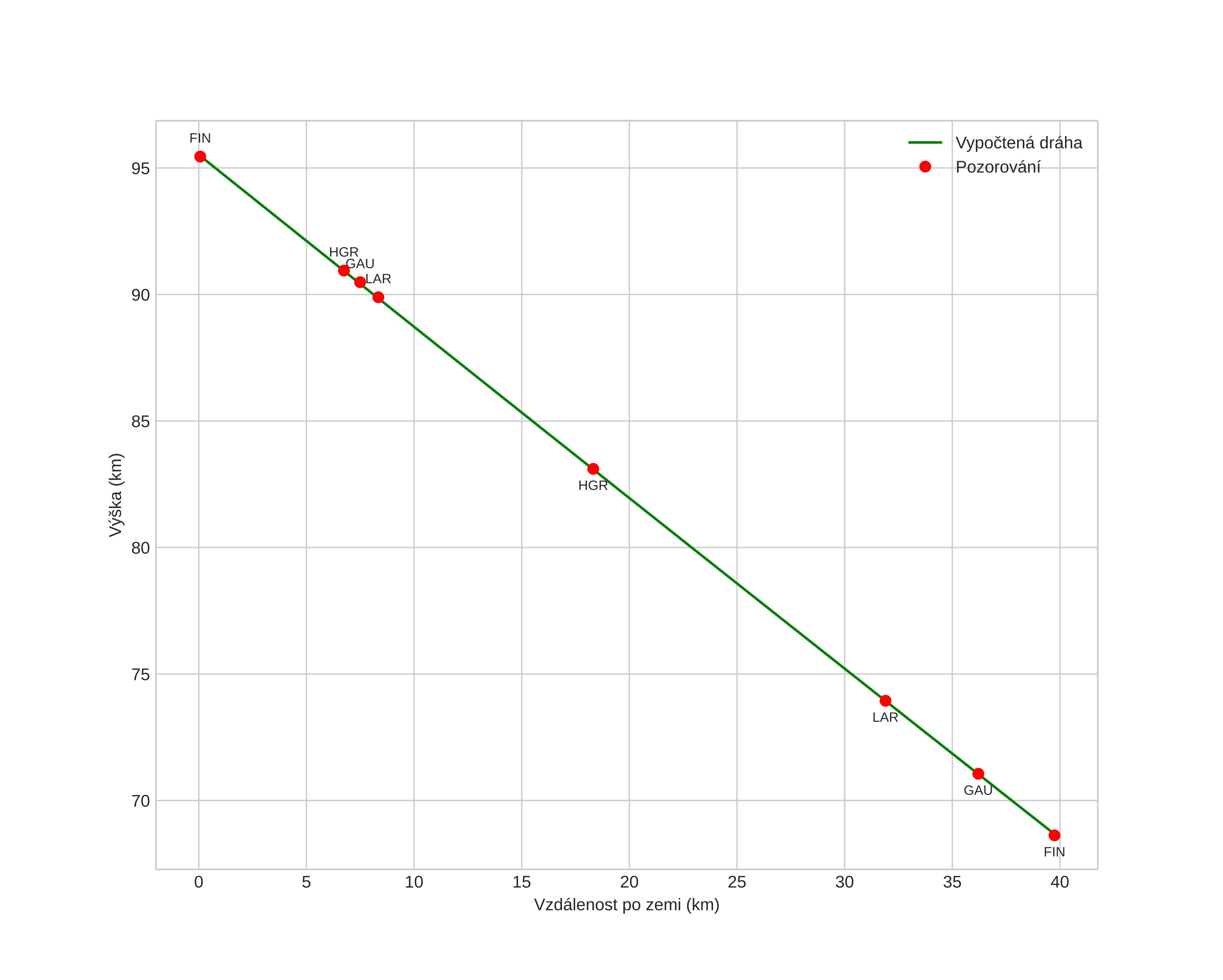
height profile
Atmosférická dráha meteoru:
Počáteční výška: 96,9 km
Konečná výška: 68,5 km
Počáteční poloha: 61,104N 10,550E
Konečná poloha: 61,453N 10,833E
Směr: 21,2°
Sklon: 34,3°
VstupnĂ­ rychlost: 26,9 km/s
Rektascenze radiantu: 12:21 (185,3°)
Deklinace radiantu: 4,3°
MeteorickĂ˝ roj: sporadickĂ˝
Elementy dráhy meteoroidu:
Vzdálenost v periheliu: 0,522 AU
Excentricita: 0,775
Sklon dráhy: 5,1°
Délka vzestupného uzlu: 0,3°
Argument perihelia: 275,1°
Střední anomálie: 347,5°
Epocha: 2025 MAR 21 00:59:14
orbit plot

NeinteraktivnĂ­ graf | InteraktivnĂ­ graf

position vs time
speed and acceleration